袁强
紫金山天文台研究员
暗物质粒子探测卫星「悟空」团队成员
暗物质这个概念是怎么来的呢?这要从一个方程讲起。

我们可以把它称作宇宙的定律,它的名字叫「爱因斯坦场方程」,它有另外一个名字叫「广义相对论场方程」,它还有一个低配版本,就是「牛顿万有引力定律」,想必知道的人可能会更多一点。
这个方程描述的是宇宙中的物质彼此之间的引力关系,但是在天文观测中,我们很多时候发现这个方程好像有不成立的情况。

暗物质就是从这样的一些反常的现象中发现的。
01 人类如何发现暗物质可能存在?
在爱因斯坦还没有出生的时候,人们用牛顿定律来理解天体运动。
当时,大家只知道太阳系有七大行星,从里到外依次是水星、金星、地球、火星、木星、土星和天王星。它们都在引力作用下绕着太阳运行。
通过牛顿万有引力定律,人们可以准确地计算出每一颗行星的运行轨迹,可以预期这颗行星今天应该出现在什么位置,明天应该出现在什么位置。不光是太阳对它们的影响,甚至行星之间的相互作用和运行规律我们都能很好地掌握,计算结果与观测结果都能对得上。

图片来自网络
唯独最外围的天王星是个例外,它的运动始终体现出那么一些不规律性,人们预期它应该在某个位置,事实上它总是会偏一点,让人非常困惑。
1843年到1846年间,两位年轻的天文学家,英国的亚当斯(John Couch Adams)和法国的勒维耶(Urbain Jean Joseph Le Verrier),他们分别通过万有引力定律推算出在天王星之外还有一颗不为人知的行星,正是它影响了天王星的运动。
1846年,德国的天文学家伽勒(Galle Johann Gottfried)用望远镜在亚当斯和勒维耶预测的天区发现了这颗行星,也就是后来为人所知的海王星。

这个事情给我们一个什么启发呢?就是说,如果你发现已有的定律什么地方不太对劲,那么这很可能意味着,在某些地方存在某些不为人知的东西。
这个现象,持续困扰着学界。
到了1930年,瑞士的天文学家兹威基(Fritz Zwicky)在观察星系团(由相互之间有一定力学联系的若干个星系集聚在一起组成的星系集团)的时候发现了一个奇怪的现象,有些星系的运动速度远远超过了它所在的星系团本身的逃逸速度。

逃逸速度是一个什么概念?大家知道,当我们发射的火箭和宇宙飞船达到第一宇宙速度的时候,它们就能绕着地球做匀速圆周运动,如果这个速度更快,达到所谓的第二宇宙速度,那么飞船或者火箭就能脱离地球引力,飞离地球,这就是逃逸速度。
之所以说兹威基发现的这个现象非常不可思议,是因为按照原有的认知,这个星系团早就应该分崩离析了。于是他提出了一个大胆的猜测,认为这个星系团里面很可能存在一些我们还看不到的物质,它们提供了额外的引力把这些星系牵制住,使得它们不会跑掉。

这是暗物质存在的一个强有力的证据,兹威基现在也是公认的暗物质研究先驱。
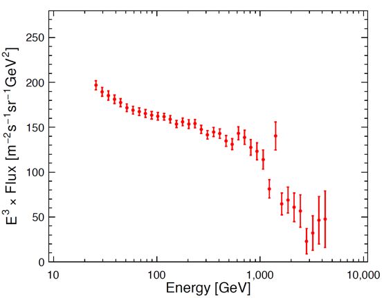
1970年左右,人们又发现了另外一个现象,即星系外围物质的运动规律与星系旋转曲线相悖。星系旋转曲线,是指星系中不同位置的天体绕星系中心运动的速度遵循「越靠近太阳,速度越快,越远离太阳,速度越慢」的规律。我们可以根据万有引力定律推算出星系在不同位置的预期速度。

但现实如图所示,我们看到绿色的点越往外速度越快,跟我们的经验完全背道而驰。
这个现象再次指向了此前的猜测——在星系的黑暗区域,很可能存在着大量物质,提供了某种引力,加快了其它天体的运动速度。迄今为止,类似的证据不胜枚举。有人可能心里会犯嘀咕:会不会是爱因斯坦的方程出问题了呢?
这种可能性是完全存在的。爱因斯坦的理论显然不应该是宇宙的终极理论,未来,我们有可能会超越爱因斯坦。在我们对这个问题的研究过程中,有两个值得注意的地方:
第一,我们对爱因斯坦的广义相对论已经做了很充分的检验,在我们力所能及的范围之内,爱因斯坦的理论是精确成立的;
第二,有一些学者也在试图修改爱因斯坦的理论,但事实上很困难,他们所做的修改往往只能够解决某些问题,放到另外的问题上就又说不通了,需要做另外的修改,也就是说,至今未有突破。

这两点告诉我们:如果宇宙中确实存在暗物质,哪怕现在看起来不那么好理解,那么我们这个宇宙反而是更容易理解的。
甚至,暗物质最好是存在的。它的存在对我们来说很关键,因为它可以加速星系的形成。如果宇宙中没有暗物质,就没有银河系,没有太阳系,也就没有我们人类自身。所以说,某种程度上我们也得感谢暗物质,给了我们存在的机会。
02 暗物质是怎样的一种存在?
既然我们相信暗物质的存在,或者说希望它存在,那么它到底是什么样的东西呢?目前,我们对暗物质的理论定义是:通过天文观测推断出来的可能存在于宇宙中的一种不可见物质。这就是把它叫做「暗物质」的原因。

这个动画展示计算机模拟出来的暗物质在宇宙中的分布状况,我们的银河系大概就相当于画面中的一个小点,由此可见宇宙有多么宏大多么壮观!
那么暗物质在其中的占比是多少呢?从能量的角度看,占了68%;从物质的角度看,占了27%;而我们所熟悉的那些普通物质,只有5%。概括地来说,暗物质在宇宙中处于一种稀疏、不均匀分布的状态,在亚星系尺度上有一些团状结构。

理论上说,地球附近包括我们周围也应该有暗物质。根据天文学家的测量,一个立方厘米,就是我们一个手指头这么大的空间里面,暗物质的质量大概等同0.3个氢原子,如果我们把整个地球的暗物质收集起来,总共不到一公斤,所以暗物质对我们的生活几乎没有任何影响。
普通物质是由各种各样的粒子构成的,如果暗物质存在的话,那它可能是什么样的粒子呢?

这个表是粒子物理的标准模型,已知的宇宙都是由这些粒子构成的,但是当我们拿它去跟我们认识到的暗物质属性做比对的时候,却发现没有一种已知的粒子可以满足这些属性。这说明了暗物质很可能是一种超出标准模型的新粒子,更具体来说,是一种弱相互作用的大质量粒子。目前我们对暗物质的认识,也就到这一步。
03 如何寻找暗物质?
既然我们对暗物质有了这么一个框架性的或者叫方向性的认知,下一个问题自然就是:我们能不能探测到这样的粒子,以及如何探测?
目前的办法有这么几种:第一种比较简单粗暴,通过高能粒子对撞,直接把暗物质造出来,但是位于欧洲核子中心的全球最大型粒子对撞机,至今还未发现暗物质的存在。

第二种办法可以叫「入地」。我们身边的这些暗物质粒子,它有可能和我们有一种很微弱的相互作用,需要非常精密的仪器才能探测到,由于空气中有大量的宇宙射线粒子,它们会对实验形成很强的干扰,所以我们必须把实验放在很深的地下实验室去做。
中国在四川锦屏山下建了深地实验室,目前正在开展两个暗物质探测实验,照片上是上海交通大学PandaX暗物质探测团队,虽然至今也还没发现暗物质粒子的信号,但他们对暗物质粒子属性给出了一个很强的约束,已经是目前世界上灵敏度最高的实验结果。

第三种办法就是「上天」,因为暗物质湮灭之后会产生一些标准模型粒子,也就是普通粒子,而地球大气层把这些粒子的大部分都挡在了外面,通过发射卫星探测器,我们在大气之外观察这些宇宙高能射线粒子,可以间接地寻找暗物质。

我们有一颗叫做「悟空」的暗物质粒子探测卫星,它是全世界观测能段最宽、分辨率最高、本底最低的暗物质探测器。

「悟空」这个名字是由一位叫林磊的网友取的,他是一位天文爱好者。这个名字取得非常传神,从字面意思看,是「领悟虚无」,正好跟探测暗物质的这个事情契合;其次,孙悟空有一双能看清宇宙万象的火眼金睛,我们的探测器也应该具备这样的能力。
那么悟空看到了什么东西?

我们去年底发表了第一个成果,在国际上引起了很大的反响。横轴是宇宙射线里一种叫电子的能量,纵轴反映的是不同能量的粒子数。
这个图只是反映我们看到的现象,还有很多无法解释的东西,比方说图上有一个点好像突然就跳上去了,这里是不是存在暗物质呢,还需要进一步的研究。
《自然》和《科学》的社论称,悟空开启了中国空间科学的新纪元。
04 如果找不到暗物质?
如果找不到暗物质怎么办呢?这是我经常被问到的一个问题。
我认为找到暗物质当然很好,那将是一个非常大的进展。但就算没有找到暗物质,也并不代表我们的努力是没有意义的。它意味着我们需要去突破爱因斯坦的理论,我们对宇宙基本规律的认知,还需要一个飞跃。
在热力学能量守恒定律被提出来以前,曾有很多人想制造出「永动机」,尽管最后都以失败而告终,但这些失败的尝试很大程度上推动了我们最终发现能量守恒定律。

图片来自网络
当然,我个人不希望暗物质的探测是这样的一种结局。
人类为什么要探索宇宙?对我而言,就是我为什么要去探索暗物质?即使明知道它对我们生活的影响微乎其微。
回顾历史我们就会发现
基础科学的每一次突破
都会带来技术上的重大飞跃
对我们的思维方式和生活方式产生重大影响
暗物质究竟能够给我们带来什么?
谁又知道呢?


评论