
作者:Lynn
昨天,全世界都关注的黎曼猜想证明冷不丁给学术界贡献了一个沉默如迷的大瓜。
当天因为关注人数过多,官方直播流直接崩溃,逼得主办方不得不改用手机。
万众期待下,89岁的阿蒂亚爵士只花了不到十分钟的时间,用一张PPT就完成了他的证明,这场过于简洁的解说让演讲现场的提问环节陷入了迷之尴尬,尔后整个数学界都沉默了。
今天,Heidelberg Laureate Forum 2018官方终于在YouTube上放出阿蒂亚爵士的高清演讲视频,“这一证明到底对不对?”的疑问迅速蔓延。各界人士众说纷纭,总体看上去,对Atiyah来说,形势并不乐观。
我们也很想问,有没有人能证明他的证明是对的呢?
这不是绕口令,这可能成为今年最重要的未解之谜。

关于Atiyah的证明
关于阿蒂亚的证明过程,简言之,就是他首先假设黎曼猜想是正确的,接着他引入了一个新的函数(Todd函数),然后将Todd函数(T(S))与zeta函数关联,并在两者的基础之上定义了新的F(s),最后透过对F(s)的简单性质研究反推出zeta函数的性质,从而证明黎曼猜想。
这样看下来,证明思路“简洁”的可怕。
用阿蒂亚的话来说,这一证明思路的灵感就来源于自己在2018年ICM上提出精细结构常数(Fine structure constant)的推演,这是一个物理学上长期存在的数学问题。
由于目前流出的材料过于简洁,几乎每一步的推演都是“证明从略”,因而引发了外界巨大的争议。
并且,这项证明的核心——Todd函数,它更是专属于阿蒂亚及其门徒的内部研究成果,即关于该函数的研究,阿蒂亚和他的弟子们最有发言权,其他人想插嘴也不容易。
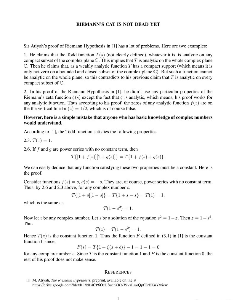
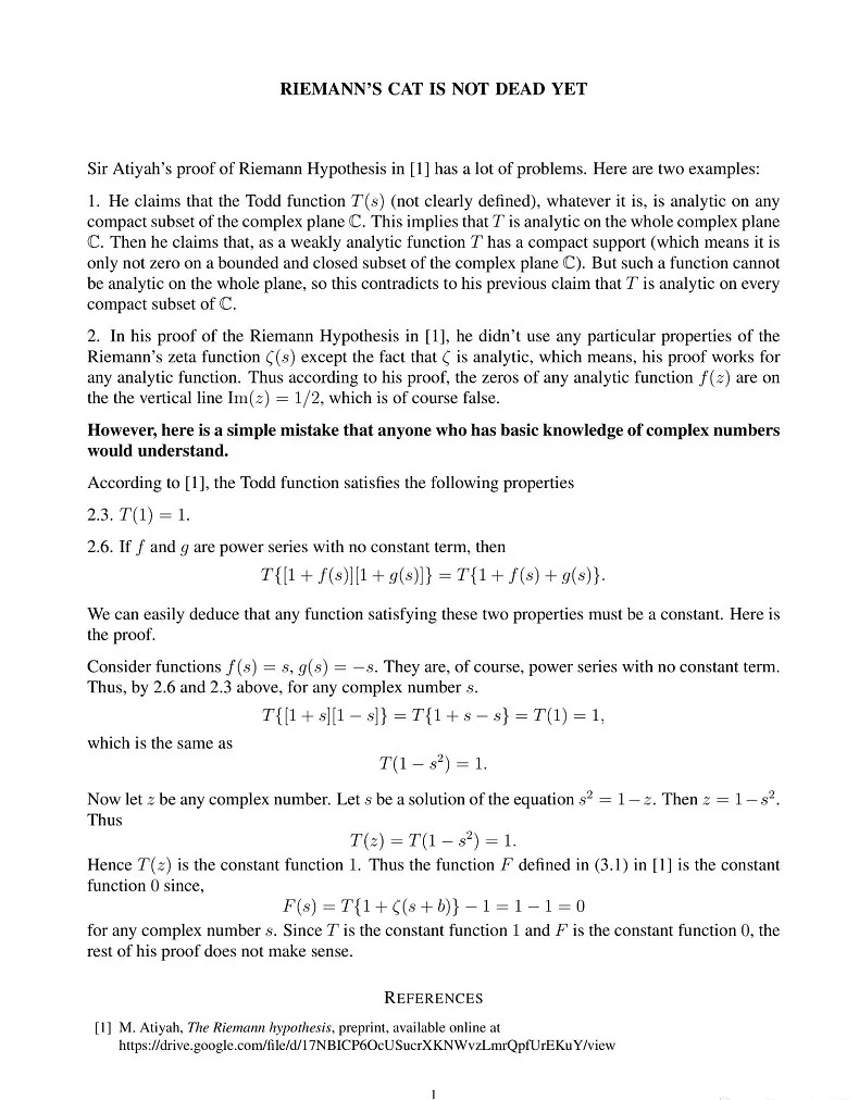
疑点重重
目前,对于这一证明过程,各界最大的质疑在两处:一是立论基础——精细结构常数;二是Todd函数。
首先,阿蒂亚采用的精细结构常数α,其本身在物理界的“名声”就不好。原先,精细结构常数在量子电动力学中是一个很有名的基本常数,其数值约等于一百三十七分之一(并非精确相等)。后来,很多物理学家尝试从诸多数学角度给出解释和推导,但都以失败告终。因此,现在,对于α的研究在物理学界被默认为是“放飞自我”。
在这一证明被公布后,对于阿蒂亚引用精细结构常数α作为立论基础这一行为,众人表示深深的怀疑。

而对于Todd函数引用的严谨程度,更有人写上一页的论文来回“怼”。如图,在分析中,作者给出了两点疑惑:一是作者根据阿蒂亚给出的公式分析出Todd函数不是在全平面可解析的,这与老爷子给出的前提矛盾;第二,作者指出阿蒂亚并未严谨的给出他在采用zeta函数时的限定条件,因此其中存在一定的矛盾。

(图片来源:网络)
国内的讨论虽已热火朝天,但国外大多数人至今仍然保持沉默。在已有的评论中,加州大学河滨分校(University of California, Riverside)的数学物理学家John Baez 是少数几个愿意对阿蒂亚的主张发表批评意见的人之一。他指出:“该证明只是将一个大胆的主张叠加在另一个之上,没有任何关联的论证和真正的证据。”
孰是孰非
Atiyah是真的错了?
事实上,历史总是惊人的相似,数学界的难题基本上没有出现过一次性就搞对的。
怀尔斯对费马大定理的证明就是私下找人看了半年,然后才小规模公开让大家评审,审了两个月之后发现了一个严重错误,怀尔斯又花了一年多补救这个错误,最后又花了一年多才最终发表。
可见,仅是验证证明本身的正确性就不是一件容易的事,在阿蒂亚愿意公布细节的情况下,距离正式落定,也少不了两三年的时间。
换言之,如果仅凭阿蒂亚老先生透露出来的几个公式就断定其正确性,似乎显得太过轻视了些。
对于各方的批评,阿蒂亚也似乎早有预料,他在演讲之前的一封电子邮件中就表示:演讲的观众中会有睿智的年轻学者,以及经验丰富的老科学家。我要做的是把自己抛入狮群之中,希望能够全身而退。
最后
对于论文的细节,阿蒂亚表示,其实他已经写了多篇论文,最长的一篇是关于精细结构常数。但发表不易,因为到了他这个年纪,人们(杂志)就不再发表他的论文,年纪太大了,而且肯定有错。他解释道:“我甚至提交到了arXiv 上,但它们不接收。”
其实,正如中科大教授胡不归所言:“数学领域十分残酷,哪怕你有500页的论文,只需一行的错误就可以否定全部。这个是否真的有一个惊天进展,只能继续等待了。”
因而,我们能做的就是等待,等待那个证明“这个证明”是对或是错的人。


评论