本文以东北三省的城市发展数据为基础,运用因子分析法,研究东北三省城市综合发展情况,以期为房地产行业提供参考。

01 指标体系研究框架
本文以“五位一体”总体布局为指导思路,将文化发展和制度建设融入评价指标体系,构建包含经济、社会、文化、环境和制度建设的城市发展质量综合评价指标体系。
图:中国城市发展综合评价指标体系框架

02 分析步骤
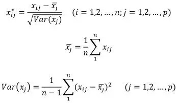
(1)数据标准化

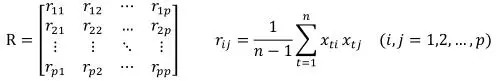
(2)计算相关系数矩阵

(3)计算相关系数矩阵的特征值及特征向量。
令|R - λI| =0,求特征值,特征贡献率,累计贡献率及特征向量
(4)确定综合因子数以及因子结构和因子模型。
(5)计算因子得分矩阵。
(6)基于因子得分进行进一步分析。
本文选取5个一级指标,17个二级量化指标来构建城市发展质量综合评价指标体系。
表:城市综合竞争力评价指标体系

对东三省各个指标原始数据进行因子分析,通过计算各指标的综合得分排名情况,从而得出城市发展水平综合得分及各市的排名情况。
对标准化后的数据进行因子分析,得出因子特征值和累积方差贡献率以及相应的碎石图。根据特征值大于1的原则提取三个主因子,由累计贡献率可得,取前三个主因子其累计方差贡献率达到85.052%,说明前三个主因子可以代表原始数据的绝大多数信息。
表:解释的总方差

表:因子与指标对应表

表:东三省城市发展水平综合评价各主因子得分及排名

03 总结
从城市发展因子来看,投资、人口和消费在城市综合发展中发挥关键性作用。第一主因子对城市综合发展影响较大,包括固定资产投资总额、城镇非私营单位就业人员、实际利用外资、常住人口、财政支出、文体娱乐固定资产投资、GDP、第三产业生产总值、社会消费品零售总额、旅游总收入等指标。
从城市综合排名来看,排名前10城市主要包括省会城市、资源型城市以及港口城市。
▌1辽宁省综合实力在东三省中具有较大优势,综合得分排名前10的城市中,辽宁省有6个城市上榜,分别为大连、沈阳、鞍山、营口、本溪和盘锦。吉林省和黑龙江省分别有两个城市上榜,分别为哈尔滨、大庆和长春、吉林。
▌2大连市综合实力位居东三省首位,大连市在生产总值、教育、医疗、科研、交通等方面比较优势显著,持续引领东三省的发展。
▌3省会城市和资源型城市排名靠前,其中省会城市哈尔滨、沈阳和长春分别排第2/3/4名,比较优势凸显;资源型城市油城大庆、钢铁城鞍山和本溪分别排第5、第6名和第9名,资源型城市具有一定的发展基础,并在近几年积极进行资源型城市转型,走向全面振兴之路。
▌4地区生产总值对城市综合发展有较大影响。综合排名前10城市中,除了营口和盘锦,其余7个城市均排在东三省GDP前十之列。
▌5营口和盘锦排名分别为第8名和第10名。作为港口城市,且借助于辽宁自贸区营口片区的成立以及大连新机场的建立,为营口和盘锦带来了新的发展机遇,综合发展前景看好。


评论