
译者|智堡公众号 张一苇
2016年获日本电影学院奖最佳动画片的《在这世界的角落》中,描写了二战动荡中一位普通日本女性小铃的日常生活和喜怒哀乐。片中有在珍贵的白糖意外泡水后,糊里糊涂的小玲前去位于吴港的黑市买糖并迷路的剧情桥段。
二战期间日本工业向生产军用物资的倾斜加剧,并征调民间物资补充军部的后勤所需。包括配额供给制在内的“战祸”,乃至战争临近尾声时日本工业的全面崩溃,对日本国内市场造成了严重的破坏与中断,最终反映在当时“蓬勃发展”的地下黑市,以及黑市商品价格的飞速通胀上。
过去学界从未针对二战日本黑市价格开展过研究。今年11月,日本中央银行 (BoJ) 货币与经济研究所 (IMES) 发布了早稻田大学教授、IMES研究员鎮目雅人 (Masato Shizume) 的最新成果,论文中以五大类商品的黑市价格构建了一组时间序列数据,对“捕捉第二次世界大战战时和战后个别产品的实际价格波动趋势”做出了第一次尝试。
概要
本文构建了一组与第二次世界大战(二战)期间日本五种商品(大米、甘薯、土豆、鸡蛋和白糖)的黑市价格相关的时间序列数据。这是对捕捉二战战时和战后个别产品的实际价格波动趋势的第一次尝试。为此,我采用了效用估价法 (Hedonic approach),这是一种在构建价格数据时根据商品质量(包括交易对手方和交易地点的特征)进行调整的方法,以获得尽可能不带主观色彩的估价。
数据显示:
1)这些商品的黑市价格在二战期间出现飙升,临近终战时每季度通货膨胀率达到40-80%;
2)与战时通胀开始前的1934年水平相比,终战时的黑市价格已经上涨了50多倍(甘薯)或700倍(白糖),表明战时通胀比战后更加严重;
3)通货膨胀最严重的时期因产品而易,大米和白糖价格均在战时见顶,而甘薯、土豆和鸡蛋的通胀峰值则发生在战后;
4)城市地区的黑市价格普遍高于农村地区。
关键词:价格形成;黑市;二战;效用估价法;经济管制
1.前言
本论文从二战期间日本商品的黑市价格中获取有关数据。这是编制这类数据集的第一次尝试,使我们能够探索在战时和终战之后自由市场中货物价格的实际趋势。
在二战战时和战后,日本经济经历了其现代历史上最严重的通货膨胀。1949年记录下来的1934-1936年间基于平均价格单位的官方零售价格指数高达243.4。为了应对价格上涨,政府在战时和战后对商品的分配过程和定价均采取了直接管制措施。但是,这些措施在实现其目标方面做无用功。随着时间的推移,通过正规途径发放的商品变得越来越稀缺,城市地区的大多数消费者只能从黑市购买他们的日用必需品。最后,即便是政府也不得不在黑市上以远高于官方定价的成本购买商品。
虽然官方价格指数(由正规分配途径的官方价格组成)显示战后的通货膨胀率高于战时,但这些数字并不代表实际趋势。由于(战时的)大多数商业交易并不在正规市场而是在黑市上执行,我们得通过了解黑市的价格,看清商品价格的实际走势。
1945年9月,日本央行(BoJ)开始收集东京黑市上50项商品价格的实时数据,包括食品,衣服和其他日用必需品。它每个月都会在黑市上的经纪商/零售商中开展广泛的调查。以1945年9月的官方价格作为基点,它会公布黑市中每项商品的价格指数。至于原始数据,在日本央行档案馆中藏有完整的原始调查文件,包含黑市中的原始价格。
战争结束之后,战时在地下进行交易的经纪商们终于可以重见天日,并在城市街道上大开商铺,而无需担心受到逮捕和重罚。
与战后时期相比,战时的数据可用性有限,因为承认从事黑市交易是违逆国家战争目标的刑事犯罪,此类交易的参与者有充分的理由将“犯罪”事实藏匿在当局视野之外。结果就是这些交易的记录迅速消失,即使在留下部分证据的情况下,往往也是支离破碎。
截至目前,最全面的战时黑市价格数据集,是美国战略轰炸调查 (USSBS; 1946) 中的逐项价格报告。该报告称日本央行提供了原始数据,但未对方法论提供任何解释。此外,全国农业协会 (NAA:全国農業会) 研究了1943年7月至1947年12月农民生产材料的购买记录,并于1948年出版了《农业村庄黑市价格研究》 (農村闇市場価格調査)。然而,NAA的数据本质上是围绕农村地区的,而非主要黑市所在的城市地区。
另一个对我们的课题更有帮助的数据来源,可能是中央价格管制合作委员会 (CCCPC:中央価格管理協力會議) 的一项调查。 CCCPC由日本农林渔业部于1940年建立,并存在直至1946年2月,以研究和学习有关该部控制的生产资料的分配、价格和其他相关问题。CCCPC与其他组织如妇女协会合作,于1943年10月至1945年6月对日常生活必需品的黑市价格进行了一次调查。虽然数据在时间和空间上非常分散,但它包含价格和数量,参与者(卖方和买方)的特征,交易地点以及单个交易的对应官方价格。尽管这份调查的存在之前就为人所知,且Morita (1963) 对其中的一些数据做过简要的审视,但Morita挖掘出的数据还没有与日本央行编制的战后黑市数据完全整合。前CCCPC官员関世克和 (Narikazu Seki) 先生向统计学家兼经济历史学家中村高夫 (Takafusa Nakamura) 提供了原始文件,发现了单个交易的详细数据。中村和他的同事溝口俊之 (Toshiyuki Mizoguchi) 在原始文件的所有者関世先生的许可下发表了这些文件。
到目前为止,很少有关于黑市的实证研究,可能是由于现有数据的缺乏。
就美国而言,Rockoff (1981,1984) 认为二战期间日本存在广泛的黑市,对整个经济造成了负担。不过他指出,由于缺乏黑市交易的统计记录,黑市的规模和范围尚待探讨。
就日本而言,Hara (1995) 认为即使在战争期间食物供应也是必不可少的,而“日本政府在二战期间将人民的生活水平降至最低”,在食物供应方面与当时其他国家的对比亦是如此。他的结论是,日本政府牺牲了人民的生计,以便延续1937年到1945年的漫长战争。
Kase (1995) 主要从定量角度探讨了食品供应管制的有效性。他指出:1)管制的有效性因商品的性质(特别是商品的可储存性)而存在很大差异;2)旨在维持生产积极性的生产者“自用”额度 ("self consumption" allowance),为生产者创造了悄悄将产品卖出的机会,最终鼓励了黑市交易的进行;3)随着战争最后阶段生产活动的进一步下降,流入城市地区的商品数量下降幅度大于“自用”商品数量,包括在黑市上销售的商品,导致城市地区的食品供应出现“真空”。
Koike (2018) 对20世纪40年代的家庭消费数据进行了新的估算,并得出结论认为1945年的消费量(经价格波动调整后的实际值)下降到1940年的45%左右,即与明治初期(19世纪末)类似的水平。他还声称,在城市地区消费水平大幅下降到1940年的30%,城市中出现了严重的物资短缺和猖獗的通胀现象,而农村地区尽管拥有生产者的“自用”额度,其消费量也下降到了1940年的60-70%。
在他最近的作品中,Yamazaki (2011) 着眼于从1937年侵华战争全面爆发开始、到1945年二战结束的国家动员系统的出现和转变。他对一手来源进行研究,指出在当时的日本市场经济和计划经济相互已存,且随着外部条件的变化而变化。Yamazaki (2016) 则将重点放在太平洋战争时期 (1941-1945),并详细探讨了政府的商品动员计划 (Goods Mobilization Plans) 及其结果。他发现,由于战时条件恶化,在日本主导下建立的“大东亚共荣圈”注定会走向崩溃。Yamazaki的这些研究主要集中生产侧(以工业部门为中心)以及分配侧(以海上运输为中心)。
Huff和Majima (2013) 分析了二战期间日本对其侵占领土上物质资源的掠夺,并指出由于运输工具的缺乏,日本未能有效地从海外吸收这些资源。同时他们发现,虽然日本占领当局印发了大量的不可兑换纸币,但由于交易对货币的需求和日本当局实施的严格货币管制,令恶性通胀的现象大致可控。
Bahmani-Oskooee and Goswami (2006) 探讨了军费开支与外汇市场中黑市溢价之间的关系,以及1985年至1998年间61个发展中国家的黑市汇率对官方汇率的背离情况。他们的结论是,较高的军费开支导致了黑市外汇的高溢价。
鉴于阻碍以往研究开展彻底实证研究的困难,本论文旨在为调查日常生活必需品的黑市分配,沉重军用需求下产品的生产与消费,国家工业生产与运输系统恶化的历史现实,提供一套新的基础。
在本文中,我通过编制单个交易的价格数据,构建与二战期间货物黑市价格相关的数据,这些数据可与日本央行编制的现有黑市价格数据相连。为此,我从CCCPC档案中估算出了一组新的单个商品黑市价格序列数据。该数据与二战后由日本央行编制的黑市价格数据相当。通过以上操作,我将获得时间序列数据,将首次使我们能够分析战时和战后的实际价格趋势。与此同时,我打算通过使用效用估价法来获得主观偏见更少的数据,这种方法通常用于调整商品的质量。这将允许我们调整各种因素,例如交易参与者的特征和交易的位置。
我选择五种商品:大米,甘薯,土豆,鸡蛋和白糖,在这些品类上CCCPC调查包含足够数量的样本,来估算具有统计显著性的数据。
数据表明:1)二战期间价格通胀加速,临近终战时达到每季度增加40-80%的水平;2)通货膨胀最严重的时期因产品而易,大米和白糖通胀在战时最为严重,而甘薯、土豆和鸡蛋价格的通胀在战后最为严重;3)终战时的价格水平与1934年水平相比已经上涨了50多倍(甘薯)或700倍(白糖),意味着战时价格上涨的幅度大过战后;4)城市地区的黑市价格普遍高于农村地区。
本文其余部分的结构如下:第2节讨论了使用效用估价法估算二战期间商品价格的理由。第3节描述了用于估算单个商品价格的数据和方法的详细信息。第4节报告估算结果。第5节结合我们的估算结果以及其他现有研究和当代文献,讨论二战期间黑市交易的现实情况。第6节作总结。
2.估算依据:效用估价法
效用估价法 (hedonic approach) 是指当观察者从单个交易中估算商品的价格时,对这些商品和/或服务质量进行调整的方法。一般而言,交易参与者会从主观评估商品的质量。当观察者采用效用估价法时,他/她假设价格反映了参与者对商品各种特征的主观评价,从而代表了商品的质量。他/她运用代表可能影响交易商品质量的各种特征的自变量、一个常数和误差项,对作为因变量的观察价格进行回归分析。
我在本文中使用的原始价格数据是卖家和买家就单个交易达成一致的价格,而非商店橱窗的标价。在每次交易中,即使物理特征相同,价格也可能根据买方和卖方特征、交易地点和交易的其他方面而变化。作为标准的假设零售价格是在消费场所(译者注:如居民区)附近的零售商店提供的价格。一方面,如果卖方和买方彼此认识,和/或买方远赴生产现场购买商品,使运输成本和违法风险由买方承担,交易价格可能低于标准零售价格。另一方面,如果买方面临诸如对特定物品的紧急需求或“机不可失时不再来”的限制,他/她可能不得不屈服于卖方的报价并以溢价购买。我们需要针对这些主观偏差进行调整,不仅要考虑商品的物理特性,还要考虑可能影响每个商品定价的单个交易特征。(物理质量可能同样存在差异,特别是由于战争条件恶化导致的供应短缺。但是,由于缺乏相关信息,我们无法对这些差异进行调整。)
使用效用估价方法来调整战时交易的非物理特征,比在和平时期更为重要。这是因为在战争期间,运输受到更严格的限制,信息不对称更大,这可能会扩大因交易的非物理特征而导致的价格变化。当价格在公共空间形成时,如战后黑市的情况,买家能够比较同类商品的价格,使价格水平更容易收敛。然而,在战争期间,买家和卖家最有可能在秘密地点会面和交易,同类商品甚至可能会有比和平时期更大的价格差异。(对于战后黑市价格,商店橱窗提供的价格仍可能与实际交易价格不同。我们的数据并不包含这方面的偏见,因为我们使用的是实际交易价格。)
3.数据细节与方法论
(1) 数据细节
我们的原始数据来源,即CCCPC报告,包含21项商品的549笔交易,归类方式与战后黑市统计数据相同。我从中选择了5项商品——大米、甘薯、土豆、鸡蛋和白糖——均有逾50笔样本交易,且从交易单位估算的角度来讲关联性更强。这些商品保证了回归分析上的一定自由度:等于或高于40(表1)。

来源包含总计十个月的数据:1943年的10月、11月和12月,1944年的1月、2月、3月、7月、8月和9月,以及1945年的6月。样本数量从1到33逐月不等(1945年6月没有甘薯数据)。我将月度数据整合为季度数据,从而获得1943年四季度,1944年一季度和三季度,以及1945年二季度的数据。

译者注:倒数第二行有误,应为"Jun. 1945"
(2) 基于效用估价法估算的方法论
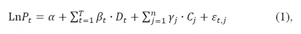
我将1943年四季度作为基准时期,并估算了每种产品在之后时期中虚拟变量的系数。我用虚拟控制变量来代表卖家、买家、交易地点和统计来源。我还计入了对数化的交易单位。对于卖家虚拟变量,我将生产者设为基准,并用虚拟变量代表经纪商、零售商和熟人。对于买家虚拟变量,我将消费者设为基准,并用虚拟变量代表农民、经纪商和零售商。对于交易虚拟变量,我将消费场所设为基准,并用虚拟变量代表消费场所以外的地点,譬如生产现场。对于统计来源虚拟变量,我将CCCPC直接手机的数据设为基准,并用虚拟变量代表妇女协会收集的数据。对于交易单位,我将一“升” (译者注:shō,约合1.804公升) 米,一“貫” (译者注:kan,约合3.75千克) 甘薯、土豆和白糖,以及一颗鸡蛋作为基准交易单位,并通过取对数纳入不同的交易单位变量。这样一来,我就得到了等式 (1):

等式中,α代表时间0时(1943年四季度)的基准价格,Dt代表每季度中与时间0点存在价格偏差的虚拟变量,Cj代表参与者对单个交易特征的评价的各项控制变量(交易特征的虚拟变量和对数化的交易单位)。与1943年四季度基准价格的偏差,经参与者评价和交易特征调整后可视作时间虚拟变量的系数。
4.估算结果的总结
(1) 控制变量系数及其统计学显著性
表3展示了基于效用估价法运用第三部分数据估算的结果。

首先,由于系数在整体上具有统计显著性,并且调整后的R平方(译者注:统计学中的决定系数)高达0.838(鸡蛋)或0.616(土豆),因此参与者对交易特征的(主观)评价造成的价格差异得到了适当控制。
其次,为了探讨交易特征的影响,例如参与者和交易地点的不同在黑市价格差异上的表现,我观察了统计显著性,以及虚拟变量系数的符号和绝对值。由于因变量,即价格,已经转换为等式 (1) 中的对数形式,我通过将表3中上栏中的系数转换为指数函数,将这些效应的相对大小表示为基准价格的比率。表3中的下栏显示的就是具有统计显著性的系数的变化率。
为了观察卖方差异的影响,销售自产商品的生产者案例被选作基准。当经纪商出售甘薯时,价格比生产者卖出的价格上涨了2.5倍;当经纪商出售大米,土豆,鸡蛋或白糖时,价格与生产者价格没有统计上显著的差异。当零售商出售鸡蛋时,价格显著提高了1.9倍,而甘薯的价格显著降低了0.3倍;当零售商出售大米,土豆或白糖时,价格与生产者价格没有显著差异。当买家从熟人那里购买商品时,大米的价格降低了0.5倍,甘薯的价格上涨了3.5倍,而土豆,鸡蛋和白糖的价格没有显著变化。
为了观察买方差异的影响,购买自用商品的消费者案例被选作基准。当零售商购买商品时,大米的价格显著降低了0.6倍。对其他商品的价格没有显著影响。
为了观察交易地点差异的影响,消费场所的购买案例被选作基准。当交易发生在消费场所以外的其他地方,比如在生产现场或其附近时,大米和土豆的价格显著降低了0.7倍。甘薯、鸡蛋和白糖的价格没有受到显著影响。
当我们比较统计来源时,女性协会收集的甘薯价格明显高过CCCPC直接收集的价格的1.3倍。妇女协会收集的大米,土豆,鸡蛋和白糖的价格与CCCPC收集的价格没有显著差异。
当交易单位增加1%时,大米和甘薯的价格分别上涨1.1%,而土豆,鸡蛋和白糖的价格没有显著变化。
(2) 黑市价格的趋势
我还抽出了每单位单个商品价格水平的数据,这些数据可与二战前后的零售价格(或价格管制实施时期的管制价格)和日本央行编制的战后黑市价格直接进行对比。
表4和图1-5显示了我运用效用估值法估算的1945年9月之前和之后的五种商品黑市价格趋势,日本央行就是在这个时间点上开始收集黑市价格数据的。我将1934年的月平均价格标准化为1。黑市的价格通胀在二战结束时开始加速,1945年二季度增长高达40-80%(以甘薯为例这种通胀势头持续到了1945年9月)。不同产品的价格通胀率峰值不同;战时的大米和白糖达到峰值,而甘薯、土豆和鸡蛋则到战后达到峰值。1945年9月甘薯在黑市上的价格水平达到57,而1945年6月白糖的价格水平为744。

与农村地区的黑市价格相比,城市地区(例如东京)的黑市价格总体上更高。这与证人报告反映的情况一致,即由于分配网络的恶化,随着农村到城市地区的物资流入短缺,黑市价格飙升。
城乡之间的价格差异因产品而异。其中,白糖的城乡价格差异最大,1945年6月城市价格达到农村价格的14.3倍。其他商品的差异相对较小,1945年6月的城乡价差大米为3.8倍,土豆为2.3倍 ,鸡蛋为1.7倍,1945年9月的甘薯为1.5倍。1944年,农村地区的土豆黑市价格反倒高于城市地区,而甘薯的黑市价格在城乡之间几乎相同(图1-5)。
译者图注:以下五张图红实线为城市地区黑市价格,黄虚线为农村地区黑市价格,蓝线为官方价格



即便假设五种商品的城市黑市价格存在95%的置信区间,从1943年四季度到战争结束,城市地区大米和白糖的黑市价格仍高于农村地区,且差异在统计学上显著。而直到1944年三季度前,城市地区的土豆、甘薯和鸡蛋的黑市价格与农村地区没有显著差别。城市地区土豆和鸡蛋的黑市价格在1945年二季度高于农村地区;同时期甘薯价格数据缺失。
接下来,我将介绍整个战时和战后通胀期间单个商品价格的走势。
1943年四季度,大米在黑市上交易的价格是1934年的14.0倍。1943年四季度-1944年三季度,大米价格每季度增长38%,1944年三季度-1945年二季度每季度增长49%,1945年二季度-1945年9月每季度增长33%,1945年9月-1946年2月每季度增长20%,1946年2月-1948年7月每季度增长16%,此时价格水平达到1943年的924倍峰值。通胀率在1944年三季度-1945年二季度达到顶峰。
1943年四季度,甘薯在黑市上交易的价格是1934年的4.7倍。1943年四季度-1944年三季度,甘薯价格每季度增长31%,1944年三季度-1945年9月每季度增长52%,1945年9月-1946年2月每季度增长69%,1946年2月-1948年7月每季度增长16%,此时价格水平达到1943年的567倍峰值。通胀率在1945年9月-1946年2月达到顶峰。
1943年四季度,土豆在黑市上交易的价格是1934年的9.3倍。1943年四季度-1944年三季度,土豆价格每季度增长3%,1944年三季度-1945年二季度每季度增长84%,1945年二季度-1945年9月每季度增长7%,1945年9月-1946年2月每季度增长133%,1946年2月-1948年6月每季度增长12%,此时价格水平达到1943年的818倍。通胀率在1945年9月-1946年2月达到顶峰。
1943年四季度,鸡蛋在黑市上交易的价格是1934年的10.0倍。1943年四季度-1944年三季度,鸡蛋价格每季度增长了47%,1944年三季度-1945年二季度每季度增长了41%,1945年二季度-1945年9月每季度增长了9%,1945年9月-1946年2月每季度增长了55%,1946年2月-1948年11月每季度增长了16%,此时价格水平达到1943年的824倍。通胀率在1945年9月-1946年2月达到顶峰。
1943年四季度,白糖在黑市上交易的价格是1934年的33.0倍。1943年四季度-1944年三季度,白糖价格每季度增长了80%,1944年三季度-1945年二季度每季度增长了57%。白糖价格在1945年二季度-1945年9月每季度下降了16%,到1945年9月-1946年2月再次上涨,每季度增长了20%,1946年2月-1947年10月每季度增长了13%,此时价格水平达到1943年的2717倍。通胀率在1943年四季度-1944年三季度达到顶峰。
5.讨论
在本节中,我将使用前一部分的估算结果以及现有的研究和档案材料,探讨二战期间黑市交易的现实情况。
在战时日本,政府对各类商品价格实施了管制,以1937年11月对原棉和棉纱标准价格设置的自愿上限作为开端。1939年10月德国入侵波兰(二战在欧洲战场的全面爆发),日本政府根据《1938年国家动员法》,颁布并实施了《价格管制条例》。根据该条例,所有商品价格将在1939年9月18日正式冻结。可以想见,该条例实施后虽然名义上所有商品均由官方管制,但黑市还是占了上风。
CCCPC大概于1940年出版的一本小册子显示,在其出版之时黑市交易已然存在。
虽然自三年前(卢沟桥)事变以来,我们的帝国陆军在(中国)大陆上展现了强大的实力,但日本面临的最大担忧是猖獗的通货膨胀。自事变发生以来,商品被大规模消耗,导致商品供应短缺,迫使人们的生计捉襟见肘。此外,欧洲战争的爆发点燃了国际价格的通货膨胀,加速了日本国内的通胀趋势。为了应对严峻的经济形势,政府不时采取各种措施,但价格通胀趋势似乎总是魔高一丈,奔向极端水平。政府预见到了这一趋势,并试图通过在去年秋天颁布的《价格管制条例》尽全力遏制通货膨胀。但是,仅靠当局的努力不能阻止价格(通胀)。只有当企业了解其需求并致力于维持(价格稳定)并伴随供需调整时,才能防止这种情况发生。
事件发生后,政府为设计价格政策付出了巨大努力。但是,由于政府与私人部门之间缺乏合作,这些努力的效果并不一定明显。私人部门参与者倾向于逃避管制,因为他们认为被迫遵守条例违背了自己的意愿。由于官方分配系统失灵,消费者急于以更高的价格购买商品,促进了黑市交易。如果只有一些物资接受价格管制,法律和经济稽查可以实现价格管制。但是,当价格管制扩展到几乎所有与人民生计有关的商品和服务时,除非直接参与其中的人员和各方通力合作,否则管制措施就是无效的。
虽然很难确定黑市中单个商品通胀加速的具体日期,但轶事证据表明至少在1942年有黑市价格上涨的表现。日本财务省 (1956) 文献中引述的当代文章,描述了1942年的大量黑市活动,包括蔬菜、酒、味噌、酱油、肥皂、煤压块、木炭和其他产品交易。它还引用了CCCPC1942年12月-1943年5月开展的一系列调查的摘要。CCCPC也通过另一项对全国约两千户家庭的农林水产品采购价格调查(生活必需物資供給実態調査)中收集过数据。在我本文所采用的调查之前,CCCPC就以自我申报的方式开展了这项调查。根据这项自我申报的调查,受访者在1942年12月的100次商品交易中,有36次购买价格要高于官方价格;平均而言,购买价格比官方价格高出22%。
档案文件显示,由于供应短缺加速,1943-1944年黑市活动急剧蔓延。日本政府在1943年4月颁布了紧急价格措施(緊急物価対策要綱),但未能正常运作。财务省 (1956) 总结了这一时期黑市的状况:
获得主食,比如大米和小麦的困难愈加明显;即使农村地区有稻米和小麦,城市居民也常常靠替代食物生活。随着辅食的采购和分配情况愈加恶化,城市居民再也不能依赖政府经营的分配系统。不仅仅是老百姓,甚至政府本身都依赖于以(黑市)市场价格直接购买的必需品。一般而言,政府会全额支付武器、原材料和中间产品的黑市价格,以便立即使用。这些交易最初是秘密进行的,但随着空袭的加剧逐渐蔓延。当日本于1945年8月投降时,黑市几乎是向全社会开放。
NAA还对失灵的分配系统做了描述:
简而言之,官方价格以官僚方式,根据日常必需品和重要战略商品的零售价格确定的。结果,必需品的价格被刻意保持在相对低于非必需品的价格水平。随着官方价格措施被引入更广泛的商品,这些价格的实际应用成了不可能完成的任务;即使有配给票,人们也无法购得想要的商品,消费者和经纪商最终以黑市价格进行交易。1943年上半年,《1942年企业处置条例》(企業整備例)造成的闲杂劳动力作为经纪商流入各个黑市,从事自由市场交易。政府对这种情况没有正确的认识,并试图通过修改官方价格来加强管控。结果,农产品滞留在生产现场,因为可供开展农业生产和日常必需的商品及其库存几乎从官方分配渠道上消失了。各种商品的的分布地域,乃至供需情况均处于失衡状态。生产者和商人在公开市场之外制造、购买和藏匿商品,或进行捆绑式销售。商家交易从最初的缺斤少两,到后来转变为漫天要价(基于黑市价格)。
总而言之,轶事证据与我们上一节中的计量经济学分析结果一致。它们表明在1939年引入总体价格管控之后的某个节点上,出现了商品的黑市价格。1942年前后,官方和黑市价格之间的差距拉大了。 从1943年开始,随着战时条件的恶化,这种差距进一步扩大。
6.总结
我为二战期间单个商品的黑市价格构建了一组时间序列数据。这些数据使我们能够捕捉二战战时和战后整个时期中价格波动的实际趋势。我发现,商品的黑市价格在临近终战时每季度通胀率高达40-80%。与战时通胀开始前的1934年价格水平相比,黑市价格上涨了50倍(甘薯)至700倍(白糖),表明战时通胀比战后更加严重。不同产品的通胀高峰期不同,战时大米和白糖的通胀率达到峰值,而战后甘薯、土豆和鸡蛋的通胀率达到峰值。城市地区的黑市价格一般高于农村地区。这些结果与轶事证据一致,证人将黑市通胀加速归因于分配系统恶化导致的城市地区物资流入的中断。
来源:Shizume, Masato, Black Market Prices during World War II in Japan: An Estimate Using the Hedonic Approach, Bank of Japan - IMES Discussion Paper No. 2018-E-17, Nov 2018
本文首发于智堡公众号zhi666bao。


评论