文 | X-Order Robin Gu
编辑 | 链闻ChainNews
X-Order是一家尝试把分布式计算、计算博弈论、人工智能与加密学等跨学术领域相结合以发现未来拓展秩序的创新型研究机构,由 NEO Global Capital 创始合伙人 Tony Tao 创立。
说明:本文以币安平台币 BNB 为例,探讨密码货币的商品、证券和货币属性,提供一个新的观察框架,该观察方法仅从经济学视角着眼,不涉及证券监管层面相关法律和合规性的评判及探讨。在美国,代币是否应该纳入证券法进行监管,主要以 Howey 测试为判定标准。币安在多各渠道表示,其平台币BNB 不属于监管层面认定的证券类别。
虚拟货币交易所币安的平台币 BNB 因其强劲的走势已经成为漫漫熊市中的焦点,这毋庸置疑。不过围绕 BNB 一直存在极大的争论:这种代币究竟是属于具有商品属性的「应用型代币」,还是具有证券属性的「证券型代币」?
英文区块链媒体 The Block 的创始人 Mike Dudas 和 币安创始人赵长鹏曾经在推特上发起过一场激辩,引发众多密码货币世界的知名投资人和意见领袖纷纷参站,分成两个阵营加入正反双方。

刨除掉证券监管层面的法律和合规困扰不予考虑,BNB 到底是属于「商品」还是「证券」,是个仁者见仁、智者见智的问题。不过,最近一家一直尝试把通证经济学和复杂系统学、认知神经科学等跨学科知识相结合的研究机构「X-Order」提出了视角更独特的看法:
观察BNB,不应该仅仅考虑期实用功能和证券属性,其实也应该把货币属性纳入观察范畴;BNB可以被视为一个结合了「商品」、「证券」和「货币」三者为一体的代币案例。
进而,BNB 这个案例正好也可以用来相对完美地解释密码货币世界里的「代币」可能具备的巨大潜力:
如果用一个全新的理论框架来诠释「商品」、「证券」和「货币」三者对人类社会所起到的社会学和经济学影响力,可以看到像 BNB 这样的代币实际上已经实现了对「商品」、「证券」和「货币」三种不同功能的统一和整合,这有可能引发一场未来的「货币战争」或「货币革命」。
「X-Order」的这个新的理论,引入了「劳动结晶」这个在货币经济学中的概念,进而可以重新构建一套全新的对密码货币或代币Token的研究框架。
这是一个开脑洞的新思考。必须要从重新审视「商品」、「证券」和「货币」的基础概念开始。
用「劳动结晶」重新定义商品,证券和货币
一个简单的思考题:传统经济学理论中,对商品、证券和货币的定义都是什么?好像无论是从严格的传统经济学理论角度,还是从大众感官上的认知角度,这三者似乎是完全不同的东西。
然后可以再思考一下,如果引入「劳动结晶」这个概念,是否会有不同的视角?
-
商品
商品的定义是用于交换的劳动产品。其最大属性有两点,一点是可以用于交换的,另一点,是其包含着劳动结晶。而且商品一般来说,它的劳动结晶在交换过后,也就是在被使用的过程中,逐步随时间减少。
当然有些产品,比如软件产品,它的劳动结晶随时间的衰减率很低,几乎可以忽略不计。所以说对于商品,交换时付出的等价物的价值是用来购买生产者过去的劳动结晶在未来的使用权,强调的是过去的劳动结晶,已经被固化,基本只会衰减。
-
证券
证券通常被定义为用来证明持有人享有某类权益的凭证。看似好像和商品的定义完全不同。但如果我们把其属性提炼出来看,证券是否都满足可以交换?至少特定场合下某个法定交易所内可以交换。
那么,证券是否也包含着劳动结晶,或者潜在的劳动结晶?答案似乎也是肯定的。
商品凝结了过去的劳动结晶,证券比如股权包含的是未来潜在的劳动结晶,例如,公司未来几十年的业绩。商品需要实体交换,证券大部分是被限制在某个空间内例如纳斯达克市场、上交所等可以交换。
有意思的是,我们看到随着世界金融创新的不断深化,逐渐有主流机构也认识到传统的将证券和商品划清界限的做法存在一定问题。2006 年日本已经将《证券交易法》改名为《金融商品法》。当人们购买证券时,付出的等价物的价值是用来购买生产者未来潜在的劳动结晶在未来的使用权。这种劳动结晶并没有被固化下来,可能会产生波动。
-
货币
马克思在资本论中提出,货币其实是一个能够充当一般等价物的特殊商品。所以首先就把货币归入了商品的范畴,只不过是一种特殊的商品。日本经济学家安富步Ayumu Yasutomi在 1994 年发表的论文《The emergence and collapse of money》中有一个更容易理解的定义,他通过复杂演化的方式,让一个只存在商品不存在货币的市场演化出了货币,从而得出一个定义:货币是「公认的最流行的商品」。
根据前述的商品的定义,货币的特殊性何在?其实,在于它代表的是「单位劳动结晶」。
苏黎世联邦理工学院的 Richard Senner 和 Didier Sornette 曾发表过一篇论文「数字货币的圣杯,The Holy Grail of Crypto Currencies」,其中提出一个观点:货币必须要锚定背后的「单位劳动成本」Unit Labor Cost。换句话说,也就是所谓的「单位劳动结晶」,这是随着整个全市场劳动结晶的变化而改变的。
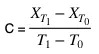
基于以上的讨论,关于「单位劳动结晶』这个概念可以再细化,可以思考下货币是在什么情况下产生的?货币的产生其实是为了满足不能够同时交换的需求,也就是说,在劳动结晶从现在向未来变化的过程中,不能瞬间被转化的那部分。
如果用公式表达,假设 X 代表劳动结晶,T0 代表 0 时刻,T1 代表 1 时刻,用 C 来代表货币,那么关于『货币』的公式可以表达为:

其实,在美国经济学家欧文·费雪的利息理论中,提出过一个交换量度单位「Numeraire」,在我们看来,这就是我们所描述的「劳动结晶」。
我们可以尝试应该用「劳动结晶」这个交换度量单位,去衡量当下世界上所有的商品和证券之和。注意,这个和传统的最大区别在于,没有用货币去衡量。因为本质上,我们刚才已经区分了货币和劳动结晶是不同的东西,货币是「单位时间的劳动结晶」。而劳动结晶本身是一种无量纲的度量单位。
引入「空间」的维度重新观察「劳动结晶」
在借助「劳动结晶」这个概念重新澄清了商品、证券以及货币的意义之后,我们可以认为,这三者其实本质上都是劳动结晶,只不过是和不同时间维度作用出的不同结果。这是用「时间」这个维度来进行观察。
除了时间这个维度,还可以考虑引入「空间」的维度,从而进一步思考在空间这个维度上,劳动结晶体现出什么样的特点。
所谓的空间维度,代表的是劳动结晶可以无摩擦流动的网络空间范围,是一种在人员网络拓扑结构中流动性的体现,空间维度越广的流动性越强。
让我们先放一放商品,从证券开始观察。
之前提到过,传统的证券其实是在一个特定的交易所内可以被交易的。换句话说,如果说交易所代表着是一整个空间,那么在这个空间内,每一份相同的证券,具体就是某支股票,它在这个空间的任意一处都是等价的。也就是说,你拿的苹果公司的股份和我拿的苹果公司股份在纳斯达克这个交易所内,是完全等价的,可以任意交换不受影响。
请注意,这里的「等价」指的是背后包含的劳动结晶是等价的,至于你当时获取的成本和我获取成本高低,也就是具体的股票价格,不在考虑范畴。
然后我们回头来看商品,任一件实体商品,哪怕是富士康加工厂加工出来的统一产品,每一个产品背后包含的劳动结晶是独立的,不能简单互换。举个例子,如果工厂生产出两部苹果手机,其背后的劳动结晶是不会完全一致的,可能第一部的某个螺丝松了一点点。所以更不耐摔,第二部的屏幕更亮一些。这意味着其背后的劳动结晶是不一样的。这种实体商品承载的劳动结晶不能在空间中无摩擦的任意流动,那么它的无摩擦活动空间就是一个点,即便愿意承受一小部分摩擦,其活动空间也依然非常有限。
再举个更明显的例子,如果有两套同一个开发商开发出来的同一房型、同一楼层的房子,有房东愿意随便地交换使用么?恐怕交换过程没那么简单。
再来看货币。货币是一种特殊的商品,其产生就是因为商品本身的交换空间过于单一,为了促进商品在空间中的流动,货币作为一个等价物演化出来了,其特点就是背后的可交换空间被拓宽到了一个更大的空间。目前各国发行自己的货币,可以认为,某国发行的货币的活动空间基本就是国家内部的空间。
通过上文的理解和分析,现在可以把商品、证券、货币这三类在现实中完全不同的概念纳入同一个框架体系中了:
商品、证券、货币这三者都可以视为劳动结晶在不同的时间和空间范畴的表现形式。
具体而言,它们有时体现出来的是劳动结晶过去的状态,有时体现出来的是劳动结晶未来的状态;有时体现出来的是劳动结晶在某一个微小有限空间的状态,有时体现出来的是劳动结晶在更广泛空间的状态。
可以试着用两张示意图来进行概括:
从时间上来看

从空间上来看

在归纳出这样一个通用的框架后,再回到一开始探讨的话题,很显然可以发现,密码货币或代币也符合这个定义,即它也是劳动结晶在不同时间和空间领域的表现。
我们可以看到,很多人在思考区块链在思考代币的时候总有一种感觉,就是好像代币和区块链更自由。自由具体表现在哪里?我们认为其中一点就是:通证其实可以通过设计被任意定制化成不同的形态,它是商品,证券和货币的超集,它可以集三位于一体。
为什么说BNB 实现了商品、证券、货币三位一体
代币是如何能兼具这三位一体的属性呢?不妨让我们利用 BNB 作为一个案例来进行说明。
当然,BNB 的案例虽然远非完美,事实上不用说任何一个 token,连法币也无法做到完美,但着实堪称经典。它很好的把劳动结晶在不同领域的表现结合在了一起,在带起一波市场热度的同时,也很好的诠释了通证的三位一体。
整个币安体系可以说有如下三个分支:实用性分支、证券性分支和货币性分支。可以如下图所示:

我们来分别一一分析:
在实用性分支里,BNB 有各种应用场景,也就是有很多的 Utility,最原生的也就是大家最熟悉的,是在一开始就被设定好的用 BNB 在币安交易所可以享受手续费的折扣。随着项目的扩展,币安团队逐步建立起了更多 BNB 的实用场景,如下图:

这个分支里,BNB 背后代表的是币安创始人赵长鹏以及整个币安团队过去固化的劳动结晶,他们已经确定性的把 BNB 这些功能开发出来,或是通过一些合作敲定下来。这些劳动结晶将随着使用逐步衰减,当然作为软件类产品的衰减率极低这个暂且不论。人们在购买 BNB 的时候,一部分得到的就是这些固化的劳动结晶。
第二个分支证券类分支。币安有类似上市公司分红的证券类属性,承诺用每个季度利润的 20% 回购 BNB并进行销毁,这个有点类似于传统证券市场的分发红利或是股息。
人们也习惯于将 BNB 看作是币安交易所的一种近似股权。当然,只能说是「近似股权」,因为持有人享有了类似收益权,但是和传统股权相比,没有投票权。不过近期币安宣布了币安 DEX 的推出,虽然还没有具体的细则说明,但是 BNB 很有可能在币安 DEX 上享有投票权。
此外我们可以看到,在很多区块链项目中,尤其是 DPoS 机制的各类项目,投票权是 token 的一项很重要的权力,例如 EOS 社区的治理、超级节点的选举等等,持有 token 的人都可以享有投票权。所以,可以看到token 另一方面可以被看做是一种证券而存在。在这种情况下,通过购买 token,购买到的是特定标的未来的劳动结晶。
第三个是货币性分支。我们已经看到币安交易所上线伊始,就把 BNB 视作和 BTC/ETH 一样充当其他小币种的交换媒介。发展到现在,可以看到一个很有意思的细节,现在打开币安交易所的交易页面,BNB 和 BTC 的货币对交易排前,第三位已经不是 ETH 了,而是「ALT」。了解 BTT 论坛的老人都知道,BTT 之前有一个板块是 alternative coin,也就是说币安的目标是把 BNB 充当交易等价物的能力推到一个和 BTC 能对标的高度,和第二层所有其他的 ALT包括 ETH区分开来,也和所有的稳定币系列USDT,USDC,TUSD 等区分开来。
最近,币安 launchpad 的重启也是印证了这一点,币安正在强力推动其 BNB 作为交易等价物的能力。
商品、证券、货币三位一体的「超级载体」
之所以分析 BNB 这个集商品、证券、货币三位一体的这个经典代币的案例,是为了让大家更好的去理解:为什么我们应该把 token 视为是商品/证券/货币的超集,以及这其中蕴含的意义。
传统理解把商品、证券、货币作为劳动结晶的载体,对于劳动结晶在时间和空间维度上会产生很多条条框框的限制。打个不恰当的比方,就像把一个运动能力超强的运动员被关在一个屋子里,无法最大程度的发挥出能力,所谓英雄无用武之地。
而刨除掉法律和监管层面的争论来看,token 并不像传统上对商品/证券/货币的分类那么泾渭分明,它作为劳动结晶的一个载体,具有很强的自由度和个性化空间,最大程度的释放了劳动结晶的潜能。它可以随着时间和空间维度的不同,把劳动结晶塑造成符合任意要求的形式,像一个「超级载体」。它可以使得劳动结晶在某一个时间空间体现出商品的样子,而随时间空间变化后它可能又呈现出货币的属性,就像 X 战警中的变形女,可以根据环境来改变自身形态。
那么这样一个劳动结晶的超级载体有什么意义?我们为什么需要这样一个超级载体?
人类社会不断进步和发展,其实是所有人的劳动结晶不断的堆砌累积起来的,所以我们期望每个人都能发挥出最大的劳动结晶,并且借由某种形式,把该劳动结晶最大化的传播和应用,这样才可以使得社会发展速度获得进一步提升。在这个过程中,超级载体的意义就被充分体现出来了。
借用前几年有本非常流行的著作《引爆点》里面的观点,其中提到了三个能造成信息爆炸式传播的法则,其中之一叫做「附着力法则」,即信息的传递是需要载体的,而载体本身附着力是否强大,会影响、甚至一定程度上决定信息最后被传递的深度和广度。
如果把 token 作为一种载体,其附着力非常强大,可以承载劳动结晶的任意形态。根据引爆点的理论,这会促进劳动结晶的传播和交换,而这就是我们期望的推动社会发展的重要动力。
可以看到,并不是只有我们持有这样的想法,同样的观点之前在「智能合约之父」 Nick Szabo 撰写的「Money, blockchains, and social scalability」一文中也有提及,文中用了 Social Scalability,也就是「社会扩展性」来描述区块链给社会带来的变化:它提升了社会扩展性。
我们非常认同 Szabo 所提出的这一点,这和我们理解的通过超级载体来提升劳动结晶的传播和影响是一致的。
可以再重复之前的观点,即货币的意义究竟是什么?
货币的产生其实是为了满足劳动结晶不能够同时交换的需求,也就是说,在劳动结晶从现在向未来变化的过程中,不能瞬间被转化的那部分。在传统的经济社会中,通常货币承担了这个传播劳动结晶并且提升社会扩展性的重任,把人类带入下一个时代。而当我们真正认识到代币作为商品、证券、货币三位一体的「超级载体」的事实,可以预见,在未来,一场货币战争将会打响,代币有可能成为替代今天的证券和货币的新的超级物种。


评论