文 | 新智元
编辑 | 肖琴、大明
量子摩尔定律来了!
在近日召开的2019年美国物理学会三月会议上,IBM抛出了这个概念。
在这次会议上,IBM宣布它最新型的量子计算机、今年1月在CES上亮相的全球首台商用量子计算一体机IBM Q System One提供了“迄今为止最高的量子体积”。
“量子体积”(Quantum Volume)是IBM提出的一个专用性能指标,用于测量量子计算机的强大程度,其影响因素包括量子比特数、门和测量误差、设备交叉通信、以及设备连接和电路编译效率等。
因此,量子体积越大,量子计算机的性能就越强大,能够解决的实际问题就越多。

重要的是,IBM发现量子体积遵循一种“摩尔定律”:其量子计算机实现的量子体积,每年增加一倍:
2017年IBM的Tenerife设备(5-qubit)已经实现了4量子体积;
2018年的IBM Q设备(20-qubit),其量子体积是8;
2019年最新推出的IBM Q System One(20-qubit),量子体积达到16.
也就是说,自2017年以来,IBM每年将量子体积翻了一番。

这种倍增与摩尔定律非常相似。摩尔定律由英特尔创始人之一的戈登 摩尔提出,即:
集成电路上可容纳的晶体管数目,约每隔两年便会增加一倍
IBM还制定了一个雄心勃勃的时间表:为了在 2020年代实现量子霸权,我们需要每年至少增加一倍的量子体积!
量子体积是什么?
IBM在博客上发布了对System Q One的几个模型测试结果的概述。
当然,重点的测量指标是“量子体积”,团队还发表了一篇论文,详细描述了这个指标以及如何计算。
在论文中,他们指出,新的度量标准“量化了计算机成功实现的最大宽度和深度相同的随机电路”,并指出它还与错误率密切相关。

除了提供迄今为止最高的量子体积之外,IBM Q System One的性能还反映了IBM所测量到的最低错误率,平均2-qubit gate的错误率小于2%,其最佳gate的错误率小于1%。
低错误率很重要,因为要想构建功能完备、大规模、通用、容错的量子计算机,需要较长的相干时间和较低的错误率。
量子体积是衡量量子霸权(Quantum Advantage, 又称量子优势)进展的一个基本性能指标,在这一点上,量子应用程序带来了超越经典计算机本身能力的重大、实际的好处。
接下来,详细阐述“量子体积”的概念和意义。
IBM对 Q System One进行了详细的基准测试,并在博客中公布IBM Q Network系统“Tokyo”和“Poughkeepsie”以及公开发布的IBM Q Experience系统“Tenerife”的一些性能数据。
特定量子计算机的性能可以在两个层面上表示:与芯片中基础量子位相关的度量,我们称之为“量子器件”,以及整体系统性能。
下表比较了四个最近的IBM Q系统中量子器件的基本指标:

IBM Q System One的性能可以体现在测得的一些最优性能/最低错误率数字中。平均两个量子比特门误差小于2%,最佳门错误码率小于1%。
IBM的设备基本上受到相干时间的限制,对于IBM Q System One来说平均为73μs。
平均两比特率误差率在相干极限的两倍之内(1.68倍),该极限即由量子位T1和T2设定的理论极限(IBM QSystem One平均为74μs和69μs)。这表明IBM的控件引起的误差非常小,已经接近该器件上最高的量子比特保真度。

量子摩尔定律 :为了实现量子优势,量子体积需要每年至少翻一番
为了在本世纪20年代实现量子优势,需要每年至少将“量子体积”增加一倍。
IBM的五量子比特设备Teumife的量子体积是2017年首次通过IBM Q Experience量子云服务提供的,目前的IBM Q 20-量子位的高端设备的量子体积为8。最新结果表明,IBM Q System One性能已经超过16量子体积。自2017年以来,IBM Q团队每年都实现了量子体积的倍增。
下面是一张量子系统开发路线图,以量子体积为衡量标准,量子系统计算力每年增长一倍。

有趣的是,其实可以将上图与Gordon Moore在1965年4月19日提出这张著名的“摩尔定律”图表进行比较:

为了实现0.01%的误差率,需要将相干时间提高到1-5毫秒,这是一个漫长的未来之路,在量子系统中实现这一目标需要克服很多激动人心的挑战。
在制定系统路线图的同时,需要同时研究元器件的基本物理特性,并测量了单个超导传输量子比特T1弛豫时间长达0.5毫秒(500微秒,质量因数为1500万),研究结果表明这些器件不存在基本材料上的限制问题。

虽然“量子体积”可用于表征设备性能,但业界也可以使用其他指标,例如测量设备上的纠缠量子位的方式,从中提取有关系统性能的更多信息。
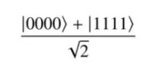
对于多量子位纠缠,一个简单的衡量标准是n-qubit Greenberger-Horne-Zeilinger(GHZ)状态的断层摄影(可完全描述未知量子态的相同集合的过程),比如4量子位状态。

首先准备GHZ状态,并通过在不同基础上的各个量子位的投影,重建我们创建的状态。这里的量度指标是可实现的实验状态相对于目标状态的保真度。
状态层析成像对测量误差很敏感,因此如果不具备去除这些误差影响的技术,我们重建的4量子位 GHZ状态的保真度为0.66,可以绘制出如下的密度矩阵:

不过,可以通过额外校准测量来确定测量误差的倒数,并对层析成像数据进行测量校正,从而降低这些误差。同样的数据经过校正处理后,保真度提升至0.98。请注意,此值不包括误差线,误差线将包含由于状态准备和测量误差引起的统计噪音和系统噪音。
Qiskit Ignis是一种理解和降低量子电路和器件噪音的框架,也是IBM的开源量子开发套件Qiskit的一部分。Qiskit Ignis中包括测量误差降噪。
降噪后的4比特GHZ状态层析成像,保真度为0.98

我们还对IBM Q System One上的真正纠缠状态进行了初步测量,共有多达18个量子比特纠缠。
这些初步结果,再加上量子体积和降低测量误差技术的改进,以及新的快速高保真量子位测量的成果,将在2019年3月美国物理学会的会议上公布。
量子计算的噪声中间量子(NISQ)时代的到来是一个激动人心的时刻——从硬件,软件到物理学的突破,再到新的量度标准的诞生。要在实用系统上继续改进“量子体积”量度标准,仍需要进一步的研究和应用。IBM计划在纽约Poughkeepsie开设新的量子计算中心,在2019年下半年制造具有相当性能水平的量子计算系统。
1965年,戈登·摩尔曾断言:“集成电子技术的未来是电子产品本身的未来。”而我们现在相信,量子计算的未来将成为计算机本身的未来。
史上最高量子体积的量子计算机,是何方神圣?
IBM Q System One,号称全球首台量子计算一体机,它体积如同大象,算力不敌小手机。
今年1月,拉斯维加斯CES展会上,Q System One首次亮相。

IBM Q System One
它犹如一件艺术品,被安置在一个2.74米高、2.74宽的的硼硅玻璃柜中,中间挂着吊灯一般的量子计算核心硬件,由一个闪亮的圆柱形黑色外壳包裹,里面的所有部件都被精妙地隐藏起来。
当然,为了方便维护,玻璃外壳可以使用电机打开。
IBM Q System One由许多自定义组件组成,这些组件协同工作,可用于最先进的基于云的量子计算程序,包括:
-
具有稳定性和自动校准能力的量子硬件设计,提供可重复、可预测的高质量量子比特。
-
制冷工程,提供连续冷却、孤立的量子环境。
-
紧凑型高精度电子元件,可严格控制大量量子比特。
-
量子固件,可管理系统运行状况并启用系统升级,无需用户停机。
-
经典计算能力,提供安全的云访问和量子算法的混合运行。
-
以及IBM刚刚公布的,它的“量子体积”达到了16。
如果明年IBM如约推出32量子体积的计算机,又会是何等的高端艺术品呢?
巨头搅局,量子计算竞争白热化
根据BCC Research的数据,到2022年,全球量子计算市场的复合年均增长率预计将达到37.3%,产值达到1.61亿美元左右。再往后,2027年该市场的年复合增长率将达到53%左右,产值达到13亿美元。
这个预测并不夸张。因为,这个领域的竞争正在加剧。
英特尔、微软、谷歌等主要竞争对手正在加入竞争。这些巨头科技公司正不遗余力地将量子计算商业化和民主化,使其进入商用领域。
英特尔最近与Bluefors和Afore合作推出了首款量子低温晶圆探针(Cryogenic Wafer Prober)。这种装置可以加速基于硅的量子芯片上量子比特的测试过程。
微软的量子网络也正在成长。作为该公司量子开发工具包的一部分,微软大力推广其“量子友好”的最新编程语言Q#(Q-sharp)。微软的目标是开发一种通用量子计算机,采用坚固的基于纳米线的硬件结构,具有纠错机制。
以此同时,谷歌在去年7月发布了名为Cirq的开源软件工具包,以帮助开发人员测试量子计算算法。此外,在去年3月,谷歌宣布推出Bristlecone,一台72量子比特的通用量子计算机。
来源:IBM



评论