文|知社学术圈
北京时间2019年4月10日21:00,事件视界望远镜(EventHorizonTelescope;EHT)项目和中国科学院在比利时布鲁塞尔、智利圣地亚哥、中国上海和台北、日本东京和美国华盛顿全球六大城市同步举行新闻发布会,公布人类获得的首张黑洞照片。知社特邀ETH中国团队成员、华中科技大学吴庆文教授为我们做深度解读,兼谈黑洞的前生今世。
这张照片摄自梅西耶87(M87)星系中心的黑洞,重约60亿个太阳质量,距离地球5600万光年,由全世界横跨几大洲近10台毫米波望远镜(或阵列)组成ETH进行联网观测,项目团队包括来自中科院上海天文台、云南天文台、中科院高能所、北京大学、华中科技大学、南京大学等单位的10余名成员。

ETH项目团队在2017年4月5日到11日之间对M87进行了4次非常成功的联合观测,并经过近两年的数据处理,呈现给人类首张黑洞照片,如上图所示。照片中最明显就是圆环状结构,中心比较灰暗,这个阴影区域就是人们梦寐以求的黑洞影子。需要指出由于光线弯曲等效应和望远镜的分辨率还不足够高,我们观测到的黑洞视界区域并不会完全黑暗,而是灰暗。这个圆环大小约为40个微角秒,与广义相对论预言几乎完全一致。此外,这个亮环呈不对称结构,左下角比右上角亮10倍以上,这也与广义相对论预言一致,由多普勒效应导致,其中朝向我们运动的等离子体辐射会变亮,而远离我们的辐射会变暗。
1905年和1916年爱因斯坦分别提出了狭义相对论和广义相对论,这不仅改变了人类对宇宙的认识而且还深深的影响了我们的日常生活,如GPS若不考虑广义相对论效应则无法使用。在过去的一百年中,广义相对论经受住了越来越精确的实验检验,其中比较著名的有:1)水星近日点进动;2)光线偏折;3)光线引力红移;4)雷达回波延迟;5)LIGO发现引力波。
广义相对论一个著名的预言就是黑洞。一切物质落入黑洞视界后都会消失的无影无踪,奔向奇点,连光都无法逃脱。经过近百年的努力,目前天文学家发现几乎每个星系中心都存在一个百万到百亿个太阳质量的巨型黑洞,而且每个星系中可能还存在上亿个恒星级黑洞。目前,黑洞存在的间接证据已经有很多,但人类更渴望直接看到黑洞的面目。虽然黑洞本身并不发光,但它具有强大的引力,可以将周围的物质吸引过来,形成绕其转动的吸积盘。吸积盘可以将吸积物质的引力能变成辐射,从而可以被我们看到。

图2 视界望远镜
“视界”望远镜是世界各地200多名科学家组成的一个重要国际合作项目。全世界横跨几大洲近10台毫米波望远镜(或阵列),组成了一个相当于地球大小的超级虚拟望远镜(相当于一台上万公里巨型望远镜),如上图所示。其分辨率达到了20微角秒,比哈勃望远镜高近2000倍,可以分辨出38万公里外月球上的一个乒乓球大小。这台超级望远镜分辨率基本达到了我们银河系和M87中两个超大质量黑洞在天空投影的角分辨率,因此被形象的称为“视界”望远镜。中国团队参与运行的JCMT是“视界”望远镜阵列之一,同时参与了部分数据和理论分析工作。
百年谜团,终于揭晓,人类对黑洞研究将迈入一个新的阶段。可以说“人类首张黑洞照片”是在2016年发现引力波之后,人们寻找到了爱因斯坦广义相对论最后一块缺失的拼图。
本文将借黑洞第一张照片诞生之际,从十个方面简单谈谈黑洞的过去、现在和将来。由于黑洞相关知识太丰富,本文肯定不全,欢迎批评指正。
黑洞前生今世

我们知道由于地球引力作用,扔出去的物体一般在空中划过一道优美的弧线就又落到地球上,但如果抛出速度达到或超过第二宇宙速度时(~11.2千米/秒),这个物体就会逃脱地球的引力束缚。1795年,法国物理学家、天文学家和数学家-拉普拉斯基于牛顿引力理论和光的粒子学说提出宇宙中存在着这样一种天体:如果一个发光的恒星,其密度类似于地球,但直径比太阳大250倍,那么由于该恒星的自身引力,即使光子也逃脱不了这个颗恒星,从而导致人类根本无法观测到它,这就是所谓的“暗星”。随着1801年托马斯·杨的双缝干涉实验的成功,绝大多数物理学家开始支持光的波动性,拉普拉斯自己也认为光的粒子性假设有些不靠谱,自己也放弃了,于是“暗星”这一提法也就慢慢的淡出了人们的视野。
1905年爱因斯坦提出狭义相对论之后,1916年,他又创造性地提出了广义相对论,场方程为:

方程左边代表时空弯曲,右边代表物质,其核心概念就是引力导致时空弯曲,一句来自惠勒的优美解释就是:物质告诉时空如何弯曲,时空告诉物质如何运动。由于该方程是高度非线性的,一般不能简单求解。爱因斯坦本人都认为这个方程只能得到近似解,万万令人没有想到的是,德国天文学家史瓦西看到了爱因斯坦场方程后,在引力场球对称假设下,得到了第一个广义相对论的精确解。这令爱因斯坦大为震惊,不过不幸的是这位科学巨匠于1916年在战场上患病去世。在这个精确解中存在两个奇异点(R=0和R=2GM/c2,其中G为万有引力常数,M为质量,c为光速),其中一个是坐标系选择带来的(即换一个坐标系可以避免这个奇异点,即R=2GM/c2),另一个奇异点R=0是本质的,在这一点时空曲率和物质密度都无限大,在这一点所有的物理规律都失去了效果。奇点外面存在一个“视界(eventhorizon)”,在视界以内的区域时空曲率足够大,连光子都难以逃脱,一切物质只要落入这一区域,它立刻就会消失的无影无踪,就像一个无底洞,即我们所说的“黑洞”(记住:“黑洞”的概念这时还未提出来)。对于这种不带电荷、没有旋转、球对称的黑洞,我们称为史瓦西黑洞。对于太阳来说,如果塌缩成一个史瓦西黑洞,则黑洞视界大小约为3公里,对于地球来说,如果压缩成黑洞后,视界半径还不到1厘米。
印度裔美籍科学家钱德拉塞卡在1930年提出白矮星存在质量上限概念后,他的导师爱丁顿立刻认识到如果接受钱德拉塞卡的分析,那么大质量恒星演化的最终结局就不可避免的塌缩成中子星或黑洞。虽然爱丁顿是当时能理解广义相对论的少数几个人之一,但他自己不能接受白矮星质量上限的理论这样怪异说法,害得钱德拉塞卡在英国混不下去了(有兴趣可以读读他们的故事)。1939年,原子弹之父-奥本海默利用广义相对论计算了无压力气体组成的均匀球塌缩过程,发现球体将不可避免会切断和外部世界的通信联系,这也是第一个关于黑洞形成的理论计算。关于引力球塌缩问题很长时间并没有引起别人的注意,直到上世纪五六十年代,美国物理学家惠勒(物理大师-费曼和索恩的导师)进一步研究了这类天体的塌缩问题,并认为这一结论应该是正确的,并于1967年的一次会议上正式提出“黑洞”一词用来取代以前的“引力完全塌缩星球”这一冗长的称呼,“黑洞”一词简洁明了,又能很形象的描述这类天体的性质,因此很快被人们接受。同一时代,克尔(Kerr)等人又找到了一个旋转黑洞的精确解,对应的旋转黑洞被称为克尔黑洞(相比史瓦西黑洞而言,克尔黑洞具有角动量或自旋),在旋转的克尔黑洞中,黑洞视界大小与黑洞自旋有关。

黑洞具有强大的引力,本身并没有光子辐射(先不谈霍金辐射,机制不同),那么我们怎么能够看得见它呢?确实如此,如果宇宙中存在一个孤零零的黑洞,我们确实无法从电磁手段观测到。但黑洞强大的引力可以把周围的等离子体俘获,这些被俘获的物质会围绕着黑洞旋转,形成所谓的“吸积盘”,离黑洞不同的距离旋转速度不同,物质之间产生摩擦,导致吸积盘温度升高,使俘获物质的一部分引力能变为热能辐射出去,从而被我们观测到。因此,并不是黑洞本身发光,而是黑洞视界外面的吸积盘发光,让我们有机会看到它。
由于“视界”望远镜观测到的就是黑洞周围电磁辐射过程,因此有必要简单描述一下黑洞吸积盘(如果感兴趣可阅读上海天文台袁峰研究员的一篇综述文章-Yuan&Narayan2014ARA&A或黑洞大咖-卢炬甫老师中文综述文章-1999年在天文学进展发表的《黑洞吸积盘理论进展》)。对于不同吸积率(单位时间吸积物质的多少)情况下,主要存在3种吸积盘模型:
01 低辐射效率吸积盘模型
在黑洞吸积率很低时,吸积盘光深很小,被加热的离子几乎不辐射,又没有把大部分能量转移给电子辐射,因此形成一个双温盘(离子温度远高于电子温度),温度高导致盘是厚的(H/R~1,H为盘厚度,R为到黑洞距离),此时吸积物质的大部分引力能都被离子带到黑洞里去了,所以我们称之为低辐射效率吸积盘,这类吸积盘主要存在于活动性不太强或者接近休眠的黑洞中(目前视界望远镜看的两个超大质量黑洞都属于这一类吸积过程);
02 标准吸积盘模型
当吸积率比较大时,吸积盘光深远大于1,电子和离子碰撞频繁,吸积盘辐射很有效,形成冷盘,盘也比较薄(H/R远小于1),此时吸积盘辐射效率高达10%左右(远远高于化学能或核能的转化效率;如果黑洞转的很快,辐射效率高达惊人的40%),这类吸积盘主要存在于正直壮年的类星体中(或者高软态的黑洞双星);
03 细盘
当黑洞吸积率非常高时,由于吸积盘光深非常非常大,有可能导致盘中间辐射的光子还没来得及逃出盘表面,就被带到黑洞里了(光子囚禁现象),此时盘温度也会升高,高温导致吸积盘也是厚的(可参考中科院高能所王建民研究员、中国科大袁业飞教授和厦门大学顾为民教授在细盘方面研究结果)。由于此时很多辐射光子能量被带入黑洞,因此吸积盘辐射光度增加并不快,甚至黑洞辐射光度可能达到饱和,若如此这类黑洞可以作为标准烛光用来研究宇宙学(有点像Ia型超新星,中科院高能所王建民研究员对这类黑洞天体研究较为深入并取得了很多重要结果)。

1、恒星级黑洞-黑洞X射线双星
3-20个太阳质量
X射线双星由一颗辐射X射线的致密天体和一颗普通的恒星组成的双星系统,其中致密天体可能是黑洞、中子星或者白矮星。当致密天体为黑洞时,我们就称之为黑洞X射线双星。那么我们怎么才能知道其中的致密天体是黑洞呢?在X射线双星中,中心致密天体通过洛希瓣或星风吸积伴星的物质,形成吸积盘,对于恒星级质量的黑洞或中子星来说,吸积盘内区的温度非常高,辐射主要在X射线波段,因此我们更容易从X射线波段发现它们,对于爆发类天体,射电观测等或许能提前知道爆发信息(可参考上海天文台余文飞研究员和国家天文台刘继峰研究员等人在X射线双星方面相关工作)。对于两个天体组成的绕转系统来说,如果轨道角度合适,则有可能看到蚀现象,这样可以测到周期性变化。即使没有看到蚀现象,由于绕转,作为伴星的恒星谱线会呈现出正弦多普勒位移特征,这种特征也可以得到绕转周期(谱线的周期就是黑双星绕转周期)。通过恒星颜色,现在可以很好的确定其伴星的质量。如果合理确定双星轨道倾角,那么就可以计算出中心致密天体的质量。在上世纪60年代,通过X射线观测,发现天鹅座X-1(CygX-1)是一个非常强烈的X射线源,其伴星为一颗超巨星,质量约为20个太阳质量,其轨道周期约为5.6天,通过谱线多普勒效应测得的速度约为70公里/秒,计算发现这个X射线源的最小质量也应该是5个太阳质量,如果采用更合理的倾角(倾角不太好测量),其质量大约为10个太阳质量,这远远超过了白矮星或中子星的质量上限,因此它很有可能就是“黑洞”,因此这个源被认为是第一个最佳的黑洞候选体。到目前为止,在银河系内已经发现几十颗黑洞X射线双星候选体,其质量约为5-20个太阳质量黑洞,当然还有更多的黑洞还在黑暗中沉睡。如果想了解更多,可以阅读中科院高能所张双南研究员关于X射线双星的综述文章(FrontiersofPhysics,2013,8,630)或高能所很多老师的工作(不一一列举)。通过黑洞X射线谱以及铁发射线拟合还可以测量黑洞的第二重要参数-自旋,目前有十几个黑洞双星已经较好的测定了这个参数(可参考国家天文台苟利军研究员的工作)。

图3.1.1 部分比较确定的X射线双星中的黑洞候选体。资料来源:http://mintaka.sdsu.edu/faculty/orosz
2、黑洞舞者-LIGO引力波探测的双黑洞
6-80个太阳质量
2016年2月11日,美国激光干涉引力波天文台(LIGO)宣布人类首次发现引力波,证实了爱因斯坦百年前的预言。到目前为止,已经探测到了10次双黑洞合并产生的引力波信号,并且发现了一例双中子星合并事件。2019年4月1日,LIGO升级后恢复开机,启动第三轮引力波探测,此次升级后,LIGO的灵敏度比以前提高了40%,同时欧洲Virgo也将同时启动探测,LIGO科研团队预计将能探测到更多的黑洞合并事件,有可能从以前的每月一次事例增加到每月数十次,从而使引力波事件称为常态,特别是有可能探测到以前没有看到的黑洞和中子星合并所发出的引力波。在前两轮探测中,双黑洞质量范围大概为6-40个太阳质量,合并后形成的黑洞质量在10-80个太阳质量,这大大突破了以前通过X射线双星确定的黑洞质量。关于更多LIGO黑洞引力可参考陈雁北和范锡龙撰写的作品—爱因斯坦都不敢想象,我们真的探测到了引力波。

图3.2.1LIGO。资料来源:MITTECHNOLGYREVIEW

图3.2.2 LIGO第一阶段和第二阶段观测发现的双黑洞合并事件引力波信号。资料来源:https://www.ligo.caltech.edu/news

图3.2.3 LIGO第一阶段和第二阶段观测发现的双黑洞合并事件以及其他手段发现的黑洞X射线双星和中子星系统等。资料来源:https://www.ligo.caltech.edu/news
3、巨型黑洞-星系中心超大质量黑洞
百万-百亿个太阳质量
类星体是上世纪60年代天文四大发现之一(另外三个分别为脉冲星、微波背景辐射和星际有机分子),类星体是一种星系,但看上去非常致密,像恒星,因此得名-类星体。这类天体红移很高,目前最高约为7,即距离地球可以达到100亿光年以上,单位时间发出的热量可高达1048尔格/秒(远远高于普通星系的光度)。这么小的体积,能持续发出这么强的辐射,这种辐射不可能来自于像普通星系那样的恒星发光,因此这类天体的能源机制一直令天文学家感到困惑。后来,人们开始慢慢认识到这种星系中心可能存在一个巨型黑洞(黑洞质量为106-10个太阳质量),围绕黑洞有一个高速旋转的吸积盘,吸积盘把一部分物质的引力能变为热能并辐射出去。在活动星系等高能天体物理方面,我国具有较强的研究实力和科研团队(不一一列举)。
除了类星体外,人们也慢慢认识到可能所有的星系中心都存在一个巨型黑洞,且发现黑洞质量和星系核球之间存在非常紧密关系(前者大约为后者的千分之一,可参考北京大学何子山等人工作)。因此,从星系演化的角度来说,可能不仅仅是星系造就了其中心的巨型黑洞,中心黑洞也严重影响了整个星系甚至宇宙的演化,否则很难解释星系核球与黑洞质量之间紧密的关系。

图4.3.1 星系中心黑洞质量与星系核球关系示意图。资料来源:http://cdn.spacetelescope.org/archives/images/screen/
我们银河系中心就存在一个巨型黑洞,中科院上海天文台沈志强研究员2005年就在Nature上发表过一篇文章,利用高分辨率的射电干涉阵给出了银河系中心存在超大质量黑洞“最令人信服”的证据。国际上不同小组也在利用最新主动光学技术,期望直接通过恒星动力学方法测定该黑洞质量,经过努力欧洲天文学家贾斯(Ghez)等人利用该黑洞周围数十颗恒星动力学测得这个黑洞质量为400万个太阳质量。

图3.3.2银河系中心黑洞质量测量,其中数十颗恒星围绕一个致密物体旋转,周期从10年到几十年,利用开普勒定律可以很精确的算出其中的黑洞质量。资料来源:http://www.astro.ucla.edu/~ghezgroup/gc/blackhole.html
4、中等质量黑洞--黑洞沙漠?
相比于比较公认的超大质量黑洞和恒星级黑洞,中等质量黑洞(102-5太阳质量)存在的证据初露端倪,但大家认可度还不高。初步候选体包括:1)矮星系中心黑洞,由于前面提到过黑洞质量和核球存在较好相关性,因此中小星系中可能会发现中等质量黑洞,这类矮星系可能没有经历主要合并过程,因此没有长大(如Greene&Ho2007;Jiangetal.2018等);2)极亮或超亮X射线源,这类源一般位于星系‘非’中心位置,但光度可以达到1039尔格/秒甚至1042尔格/秒以上(即超过或远超过恒星级黑洞的光度)。HLX-1是个特殊的极亮X射线源,大约每400天爆发一次,最高光度可以超过1042尔格/秒,从X射线部分黑体谱及吸积盘不稳定性等方式限定都表明其中心黑洞质量可能为104-5个太阳质量。因此,该源是中等质量黑洞最好的候选体之一(Davisetal.2011;Wuetal.2016等)。球状星团中也是中等质量黑洞存在的热门候选天体,目前已经利用多种方法搜寻,但结果都还有相当的不确定性。相比而言,中等质量黑洞似乎还是一个沙漠地带。寻找中等质量黑洞,对理解黑洞形成和演化将起到至关重要的作用。期望不久的将来,随着高灵敏度、大视场的望远镜或空间引力波计划的建成和投入观测,中等质量黑洞的沙漠能变成绿洲。


图3.4.1-a 中等质量黑洞候选体HLX-1,上图为位置,下图为光变和理论计算(选自Wu et al. 2016,ApJ)

图3.4.1-b 目前宇宙中观测的黑洞质量分布示意图,中间区域为中等质量黑洞沙漠

望远镜的角分辨率越高,其分辨本领就越强,望远镜角分辨率是θ~λ/D,其中λ是接受辐射的波长,D为望远镜的直径,其中θ越小则说明分辨率越高。所谓“视界”望远镜(EventHorizonTelescope)就是能够分辨到宇宙中部分黑洞的视界尺度。为了提高分辨率,有两种途径:采取更短的波长和增加望远镜的尺寸。目前对与单个望远镜而言,射电望远镜直径可达几百米(如500米FAST射电望远镜),但其接收的波长很长,其实分辨率并不高(其高灵敏度是最重要优势)。在光学波段,由于材料限制,目前最大的望远镜也就是在10米左右。在高能的X射线以及伽马射线波段,只能在空间探测,由于材料和技术原因,也不能把望远镜做的很大。
上世纪60年代,英国剑桥大学卡尔迪许实验室的马丁·赖尔(Ryle)利用基线干涉的原理,发明了综合孔径射电望远镜,大大提高了射电望远镜的分辨率,其主要的工作原理就是让放在两或多个地方的射电望远镜同时接收同一个天体的无线电波,考虑到地球自转以及望远镜位置,电磁波到达不同望远镜存在光程差,可以对不同望远镜接收到的信号进行相关处理得倒干涉条纹,此时这台虚拟望远镜的尺寸就相当于望远镜之间最大距离,因此这种化整为零的方法大大提高了望远镜的分辨率,赖尔也为此项发明获得1974年诺贝尔物理学奖。目前在从射电到伽马射线不同波段望远镜中,射电干涉阵的分辨率为最高,几个著名的射电干涉阵包括美国甚大阵(VLA)、美国甚长基线干涉阵(VLBA)、中国加入的欧洲甚长基线干涉阵(EVN)以及日本空间射电望远镜VSOP等。上述几个地面射电望远镜阵的等效直径几乎相当于地球大小(约上万公里),从望远镜分辨率公式来看,如果继续提高分辨率的话,只有建造更短波长的射电望阵列。随着技术的发展,毫米波望远镜技术逐渐成熟并开始建设。到2017年,全球不同国家有近10台亚毫米波望远镜可以投入观测,分布从南极到北极,从美国到欧洲,组成了一个相当于地球大小的巨大虚拟望远镜,主要包括南极的SPT、智利的ALMA(阵)和APEX、墨西哥的LMT、美国亚利桑那的SMT、美国夏威夷的JCMT和SMA(阵)、西班牙的PV、格陵兰岛GLT。这些望远镜工作在更短的毫米到亚毫米波段,结合地球大小的尺寸,因此达到了前所未有的超高分辨率,如在230GHz(1.3毫米),分辨率达到了20微角秒,比哈勃望远镜的分辨率提高了近2000倍,这个分辨率几乎接近部分近邻超大质量黑洞视界尺度,可以看清黑洞视界的边缘。在这些望远镜中,ALMA阵列最为重要,其灵敏度最高,耗资近150亿美金。到目前为止,两个黑洞视界分辨率最高的天体分别是我们银河系中心黑洞与梅西耶M87中心黑洞,这两个巨型黑洞质量分别为410万和60亿个太阳质量。银河系和M87的中心黑洞离地球分别为2.7万光年和5600万光年,M87中心黑洞比银心黑洞质量大了近1500倍,但距离远了2000倍,从而导致这两个黑洞在天空上投影大小几乎相当(这一点非常像月亮和太阳,看上去它们大小也差不多),其黑洞视界角大小分别为7和10个微角秒,这已经接近“视界望远镜”的角分辨率了。

图4.1-参与观测的‘视界’望远镜阵列

天文学家Bardeen1973年就曾指出,如果在黑洞周围有盘状等离子体并产生电磁辐射的话,黑洞看起来不是纯“黑”的。2000年,荷兰天文学家Fackle等人首次采取广义相对论下框架下光线追踪的办法,基于我们银河系中心黑洞基本参数,采用了光学薄的厚等离子体盘,首次呈现出黑洞可能的模样(视线方向接近吸积盘法向,如图5.1),黑洞周围有一个不对称的光环,中心比较暗的区域就是黑洞的“暗影”,黑洞阴影大小与黑洞质量有关,与黑洞自转和视角等关系不大。通过广义相对论计算发现光环几乎呈圆形,圆环直径大约为10倍引力半径(由于光线弯曲等效应,圆环大小并不等于黑洞视界大小)。由于多普勒效应,旋转等离子体的速度如果朝向我们,则辐射变亮,如果远离我们,则变暗,因此我们会看到不对称的圆环。当时Falcke等人根据射电望远镜发展预期就提出在未来几年就可看到黑洞的阴影。利用光线追踪的办法,中国科学技术大学袁业飞教授后来基于银河系中心新的观测和更理想的低效率吸积盘模型重新计算了该黑洞影像。

图5.1-黑洞吸积盘正面看呈现的图像。资料来源:Falckeetal.2000,ApJ,528,13
《星际穿越》号称是人类历史上最烧脑的电影,那是导演诺兰的首部太空题材电影,并且邀请了天体物理学家索恩给出非常专业的指导,很多场景都经过科学的计算。宣传片中那个黑洞图片在很多人的脑海中都留下了深刻印象(如图5.2),这个图像就是假设冈都亚都这个巨型黑洞周围存在一个薄吸积盘,其中黑洞为一亿个太阳质量,黑洞周围的吸积盘就是我们在第二节中提到的标准吸积盘,它厚度相对于大小而言可以忽略不计(也叫薄盘)。电影中的图像,可不是艺术家的画作,而是利用大型计算器在广义相对论框架下精确计算的结果,因此这个电影首次把一个黑洞和吸积盘的影像呈现出来,图5.2中黑洞上方和下方图像是黑洞后面吸积盘光线弯曲之后被我们看到的图像。这个图像就是黑洞“视界”望远镜希望看到的样子。当然需要指出,《星际穿越》计算中采取了标准吸积盘,这样的黑洞在近邻宇宙中还没有适合观测的。即使有,我们也不能通过目前的“视界”望远镜观测到它,因为标准薄盘辐射的是黑体谱,对于千万到数十亿个太阳质量的黑洞来说,它的辐射主要集中在光学波段,而视界望远镜观测波段在亚毫米波段。因此,《星际穿越》中的这个黑洞,在相当长的时间里,我们是无法观测到的,除非光学望远镜干涉技术得到跨越式发展。


图5.2 《星际穿越》中黑洞影像,其中假设黑洞为1亿个太阳质量,吸积盘为薄盘

黑洞因贪婪而闻名于世,但有一小部分黑洞还是没有那么贪婪,把其中一下部分物质以极高的速度抛向了宇宙空间,这就是所谓的喷流(为了给黑洞正名,需要指出有很多黑洞可能还比较慷慨,可能把90%以上的吸积物质又抛向了宇宙空间,即盘风,可参考上海天文台袁峰研究员工作)。喷流已经在不同尺度天体中都发现了,比如黑洞X射线双星、超大质量黑洞天体、大质量恒星塌缩或双中子合并导致的伽马射线暴等(可参考华中科技大学汪定雄教授《黑洞系统吸积与喷流》一书)。目前关于喷流的产生机制依旧是个谜,特别是黑洞附近的等离子体如何被准直并加速到接近光速远离黑洞的。由于星际等离子体都带有一定的磁场,当这些等离子体被黑洞俘获以后,会向黑洞靠近,等离子体中的磁场也会随着等离子体一边旋转一边向黑洞靠近,形成螺旋形结构(如图6.1和6.2)。一些还未掉入黑洞的等离子体就有可能顺着磁力线改变方向从而远离黑洞,由于磁场的作用,远离的等离子体会被加速和准直,在一定距离以后速度可以达到0.9甚至0.999倍光速以上,这就形成了我们看到的相对论性喷流现象(具体吸积盘磁场和喷流形成等可参考上海天文台曹新伍研究员和华中科技大学吴庆文等人工作)。如果相对论性喷流指向我们地球,相对论效应导致喷流的辐射会被放大几百到几万倍,以至于我们看到的辐射可能完全由喷流辐射主导,其黑洞吸积盘或星系的辐射完全看不到(比如耀变体blazar,可参考广州大学樊军辉教授等人的工作)。喷流对理解很多高能天体物理现象有至关重要的作用,但总体而言,我们对喷流如何形成、能量从哪里来(黑洞还是吸积盘)、如何准直、如何加速、能量如何耗散等关键物理过程都还知之甚少,有待深入研究,视界望远镜凭借其超高的分辨率为研究这个问题提供了重要手段,在未来几年时间里,有待解开一些谜团。

图6.1 喷流形成简图。资料来源:https://nemaloknig.com/read-265396/page=10

图6.2 黑洞吸积与喷流图像。资料来源:维基百科

梅西耶87(Messier87,简称M87)是位于室女座的一个非常典型的椭圆星系,距离我们大约5500万光年,100年前对这个星系进行光学拍照时,就发现了一个非常著名的线状抛出物(如图7.1),现在我们知道这个线状抛出物就是喷流在光学波段的辐射。如果从射电波段观测图像看,喷流将非常突出(图7.2展现了不同分辨率情况下的射电图像)。2016年全世界许多天文学家还在台北举行了一个国际会议纪念该宇宙喷流发现100周年,并研讨该天体的最新研究进展。由于M87是一个巨椭圆星系,因此其中心超大质量黑洞是近邻星系中最大的黑洞之一。通过星系核心的恒星速度分布发现其黑洞质量约为62亿个太阳质量(Gebhardtetal.2011),而通过电离气体运动学信息得到的黑洞质量大约小了2倍。这次通过视界望远镜,可直接测量黑洞暗影的大小,并能够判定上述两种测量黑洞质量方法哪一种更准确。
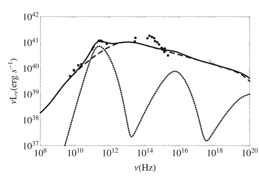
由于M87中存在相对论性喷流,因此有些波段观测到的辐射并不太清楚起源于哪里,比如射电一般认为是来自喷流,但X射线和光学波段辐射等吸积盘和喷流辐射都可以很强。由于高分辨率望远镜的出现,Prieto等人利用哈勃等不同波段高分辨率望远镜观测了星系核心区域100光年以内(~0.4角秒,相当于几千个史瓦西半径)的射电、光学甚至X射线波段的辐射,并利用喷流模型进行了拟合,发现M87各波段辐射均来自喷流(如Prietoetal.2016)。然而,华中科技大学吴庆文团队与上海天文台袁峰团队在2016年文章中均指出M87在亚毫米波段有一个明显的鼓包,这个‘鼓包’应该是来自于低辐射效率吸积盘中热等离子体辐射过程,而不是来自于喷流。这个鼓包及辐射过程在我们银河系中心黑洞以及部分其他近邻低光度活动星系中得到了较为充分的研究(Yuanetal.2003ApJ,Wuetal.2018ApJ等)。这个亚毫米鼓包正好在这次“视界”望远镜观测的波段,因此其辐射起源或者说辐射位置(吸积盘是围绕黑洞旋转,喷流是垂直于吸积盘方向),将对理解黑洞阴影有重要影响,不同的辐射起源,将有不同的黑洞影像,或者说这次视界望远镜的观测结果将可以直接检验不同的理论模型。

图7.1 M87星系光学图像,可以看到中间抛出物。资料来源:维基百科

图7.2 M87不同尺度射电波段的喷流图像(0.2-20万光年)。资料来源:维基百科

图7.3 Prieto等人用喷流拟合M87核心区辐射能谱结果,并认为从射电到X射线波段所有辐射都来自喷流。资料来源:Prietoetal.2016,MNRAS,457,3801

图7.4 M87核心辐射区辐射及拟合,点线为低辐射效率吸积盘辐射,虚线为喷流辐射。资料来源:图选自Feng,Wu&Lu2016,ApJ.注意此图与Perito等人观测数据点是相同的,但画图的纵坐标不同

需要指出分布在全球的虚拟“视界”望远镜对两个黑洞候选体-银河系中心黑洞和M87中心黑洞观测窗口非常短暂,每年只有大约十天左右,其中还要天气条件适宜。2017年观测窗口期为4月5日-14日,其中分别对银河系中心黑洞和M87黑洞做了2次和5次观测,还有部分天气因为雷电和大风等原因无法观测。参与观测的有8架亚毫米波望远镜(分辨率达到了20微角秒)。在观测成功以后,由于甚长基线干涉阵数据处理相对较为复杂,而且涉及站点很多,每晚的数据量达2PB(1PB=1000TB=1000000GB),这和欧洲大型对撞机一年产生的数据差不多。为了保证准确性,观测数据用三种完全独立的流程以及多个独立小组进行处理,以保证结果的准确性。真是拍照不易,洗照片更难。
图8.1就是利用三种完全独立的数据处理方法得到的2017年4月11日观测的图像(分辨率约为20个微角秒),其中不同温度等效于不同的辐射强度。我们可以发现每长照片均呈圆环状且中心存在阴影区域(亮环大小约为40个微角秒),这个阴影区域就是前面所说“黑洞阴影”,该亮环大小与理论计算结果十分吻合(对60亿个太阳质量黑洞对应圆环大小约为38微角秒)。此外,“亮环”明显呈现不对称性,其中左下角比右上角要亮(环最亮和最暗处辐射流量比值大约为10)。这种不对称的圆环状结构正是爱因斯坦广义相对论预言的黑洞阴影典型特征,其中绕黑洞旋转的等离子体朝向我们一侧则会变亮而远离我们的一侧会变暗。这是对爱因斯坦的广义相对论的再一次证实。从观测结果也可以得到下面几点结论:
(1)“视界”望远镜看到的中间暗影就是对应的黑洞视界范围,也就是说人类第一次看到了黑洞图像或者说证实了黑洞的真实存在;
(2)圆环状结构说明其亚毫米波辐射主要来自于黑洞周围的吸积盘,而非喷流;
(3)通过黑洞阴影和圆环大小计算出黑洞质量约为65亿个太阳质量,支持通过恒星动力学计算出的黑洞质量。
百年谜团,终于揭晓,人类对黑洞研究将迈入一个新的阶段。可以说“人类首张黑洞照片”是在2016年发现引力波之后人们寻找到了爱因斯坦广义相对论最后一块缺失的拼图。

图8.1利用三种独立方法处理2017年4月11日观测数据得到的图像

“慧眼”已在天上遨游,“慧”二代已在路上
2017年6月15日,我国第一颗X射线天文卫星“慧眼”发生升空,在浩瀚宇宙架起了一座属于中国人自己的空间望远镜(首席科学家为李惕培院士和张双南研究员),这台望远镜能看黑洞、中子星、伽马暴等多种高能天体,并在引力波电磁对应体GW170817的联合观测中作出了重要贡献。目前该卫星还在天上辛勤的工作,监测着很多黑洞双星的活动,我们期望它做出更多新发现。
“慧眼”卫星是发现极端宇宙计划的第一步,新的更强大的计划已经在路上。2018年3月,中科院启动了增强型X射线时变与偏振天文台(eXTP,首席科学家为张双南研究员)相关研究,这架旗舰型X射线天文台将在2025年左右发射,将是“慧眼”卫星的继任者,该卫星不仅整体性能上提高了一个量级以上(部分性能提高两个量级以上),而且还将具有很多新的功能,比如偏振性质测量和聚焦望远镜等,因此可以预期在2025-2035年间我们将具有中国主导的、国际领先水平的X射线空间天文台。这两架X射线天文望远镜核心科学目标都是黑洞、中子星等极端天体,一流的设备必将催生一系列一流的、超乎想象的科学发现。

图9.1“慧眼”卫星(左,2017年发射)和eXTP卫星(右,计划2025年左右发射)概念图。资料来源:cnsa.gov.cn
爱因斯坦探针—发现宇宙中隐藏的黑洞
大部分暂现源和剧烈爆发天体的辐射普遍能在X射线波段被探测到,目前在空间运行的X射线监测望远镜有“雨燕”卫星(Swift,美国)、国际空间站上搭载的日本MAXI全天X射线监视器,但这些设备基本集中在中高能X射线波段。中国将要发射的爱因斯坦探针,主要集中在光子能量小于2keV的软X射线波段,而且该设备采用了仿生龙虾眼的聚焦光学系统设计,可以同时具有高灵敏度和大视场。因为黑洞是爱因斯坦广义相对论的重要预言,因此该空间X射线望远镜以爱因斯坦命名,不仅概括了该望远镜的核心科学目标,也向这位历史上最伟大的科学家致敬(该卫星首席科学家为国家天文台袁为民研究员)。
宇宙中绝大多数黑洞都处在休眠状态,如果哪颗恒星经过这些沉睡中的怪物,则可能会被黑洞强大的引力潮汐瓦解,被瓦解的物质一部分将会被黑洞俘获并吞噬,从而唤醒这个沉睡的巨人,从而被人们观测到(可参考中国科学技术大学王挺贵教授小组工作)。爱因斯坦探针这种大视场巡天望远镜将能够抓住这些吞噬恒星的黑洞。

图9.2 黑洞潮汐瓦解恒星艺术图。资料来源:维基百科

目前探测到最远的类星体是ULAS J1342+0928,红移为7.54,其热光度达到~1047尔格/秒,黑洞质量约为109太阳质量,即大约在宇宙形成后7亿年(宇宙年龄的5%)时间内,就已形成如此巨大的黑洞(Banadosetal.2018)。目前在红移6左右的类星体已经达到数十颗(可参考北京大学吴学兵教授团队一些成果)。如果靠吞噬周围物质生长,为了形成这么庞大的黑洞,就需要在红移为10到20这个区间里产生~103到~105太阳质量的中等质量黑洞(Volonteri2010),我们称之为种子黑洞。这些种子黑洞通过不断的合并和吸积物质增长形成我们今天看到的超大质量黑洞。从电磁信号搜寻宇宙中的双黑洞是当下最前沿科学问题之一,目前已经有了很多疑似证据,但还没有确切的证据。星系中的大黑洞(~104-1010个太阳质量)的合并所产生的引力波主要在nHz到mHz范围内。对于107-1010个太阳质量的超大质量双黑洞,引力波辐射主要在低频nHz-mHz波段,这可以利用脉冲星计时阵的方法来进行探测(如500米口径的射电望远镜FAST等)。对于103-106个太阳质量的大质量双黑洞来说,它的引力波辐射主要在中频mHz-Hz波段,这是接下来10-20年国际空间引力波计划最重要科学目标之一。比如我国科学家提出的天琴计划、太极计划以及欧洲提出的LISA计划。
天琴空间引力波探测器计划在2030-2035年间发射,在10万公里高度的地球轨道上部署三颗绕地球运转的卫星,组成臂长17万公里的等边三角形,组成空间引力波探测器(如图10.1)。天琴引力波探测器将可以探测到到宇宙诞生初期第一代恒星或气体云塌缩形成的双大黑洞合并产生的引力波,这将有机会我们理解宇宙早期种子黑洞、黑洞的增长历史以及星系演化等重大天文与物理学问题。此外,一个大黑洞俘获星系中心的一个致密天体(如恒星级黑洞、中子星、白矮星等)产生的引力波也在天琴等空间引力波探测范围内(所谓的‘极端质量比旋进系统’),如果大黑洞吞噬中子星或白矮星,如果这些小的致密天体被潮汐瓦解,我们将不仅能看到引力波信号,同时也可能看到电磁信号。因此,天琴等空间引力波计划必将成为下一个20年探测宇宙黑洞的利器,特别是将可能会搜寻到大量的中等质量黑洞,将会对绿化黑洞沙漠起到关键作用。同时还会在检验黑洞“无毛”定理和修改的引力理论、利用黑洞研究宇宙学等方面发挥极其重要的作用。


图10.1 天琴引力波探测器,是围绕地球的三颗相距17万公里的三颗卫星

图10.2 引力波频谱、主要波源与对应的探测方法


评论