译|智堡 钟政昊
文章要点总结:
-
在总体策略方面,与遵循泰勒式的规则相比,预测目标制是实现美联储双重使命的一种更好的总体策略。
-
继续细分下去,相比于当前各国央行普遍实行的通胀目标制,文章详细讨论了三种“补偿”策略的优缺点:价格水平目标制、临时价格水平目标制、和平均通胀目标制。
-
总的来说,平均通胀目标制比其他策略有一定优势。在高可信度下,它拥有一些令人满意的自动稳定特性——通胀预期将向有利方向变化,从而缓解ELB和菲利普斯曲线平坦化所带来的问题。
-
此外,与直接迈向价格水平目标制相比,先转向平均通胀目标制的步子较小。因为,平均通胀目标制可以看作只是把通胀平均期从一年延长到几年。这可能是沟通方面的一个优势。这更符合观察人士对美联储框架温和变化的预期。
1. 介绍
美联储今年正对其货币政策框架进行全面评估。正如副主席Clarida所解释的,美联储将检验其政策策略、工具和沟通实践,以实现其充分就业和价格稳定的双重使命 (dual mandate)。这项评估并非由对现有政策框架的任何不满引发的,而是考虑到过去十年中所发生的前所未有之事,美联储认为现在是一个很好的契机,可以退后一步,思考能否改进其策略、工具和沟通实践,以尽可能一致和稳健地实现和维护其目标。通过评估,美联储希望确保自己处于有利地位,能够在未来几年继续实现其法定职责。此外,本次会议还将评估美联储在应对2008-2009年金融危机和大衰退时使用的新政策工具和沟通实践。
评估的一个重要背景是,美国和其他国家的中性利率似乎都在下降,外界普遍预计这种全球利率下降将持续数年。在其他条件相同的情况下,中性利率的下降增加了央行政策利率在未来经济衰退中降至有效下限 (Effective lower bound, ELB) 的可能性。反过来,这可能会使货币政策在经济低迷时期更加难以支持支出和就业,并防止通胀低于设定的目标。
近几十年来的另一个关键发展是,通胀对资源闲置的反应似乎有所减弱。短期菲利普斯曲线似乎已趋平。平坦的菲利普斯曲线降低了总需求的作用,增加了通胀预期在控制通胀和保持通胀接近目标方面的作用。
美国国会赋予了美联储双重使命,即实现充分就业和物价稳定。Clarida指出,评估工作将视这一法定授权为既定任务。此外,考虑到个人消费支出价格指数 (PCE) 中2%的通胀率是与美联储价格稳定使命最为一致的操作目标,这一假设也将被视为既定。Clarida还提出了三大问题,而过去十年的事件也凸显了这三个问题的重要性。
第一个问题是,美联储能否利用现有的货币政策策略,最优地实现其法定目标,还是应该考虑扭转过去未能实现通胀目标的策略?这个问题的背景是,美联储目前的做法是对过去通胀偏离目标的情况“既往不咎” (bygones)。美联储并没有试图用未来的超调来抵消过去通胀低于目标的影响,反之亦然。考虑到自然利率的下行,以及由此导致的ELB风险,通胀持续低于目标的可能性更大。这可能会使通胀预期低于通胀目标,从而使实现目标变得更加困难。
几位学者和央行行长已经为美联储提出了各种不同的“补偿” (makeup) 策略,比如价格水平目标制 (price-level targeting)、临时价格水平目标制 (temporary price-level targeting) 和平均通胀目标制 (average-inflation targeting)。在这种情况下,政策制定者寻求部分或全部消除过去通胀偏离目标的情况。在这种策略具有高可信度的情况下,通胀低于目标将推高通胀预期,如果到达了ELB时,还将降低实际利率,从而为经济提供刺激,帮助通胀重返目标。
这种具有“自动稳定”性质的补偿策略,使它们在面对ELB时很有吸引力。模型也显示出它们可以提供更好的总体表现——更好的通胀和就业稳定性——即使在没有达到ELB时也是如此。然而,这种自动稳定功能需要相当高的可信度 (credibility),要让私营部门相信央行会按照策略执行并作出补偿。这可能需要经济主体看到政策的实施及其原则得到遵守,以便相信它将得到维持并在未来取得成功。这类似于当时第一批采取通胀目标制的央行要先取信于民。
Clarida提出的第二个问题是,现有的货币政策工具是否足以实现和保持充分就业和物价稳定,是否应该扩大工具箱?第三个问题是,联邦公开市场委员会 (FOMC) 应如何改进其政策框架和执行方面的沟通?
本文将主要处理第一个问题,即关于“补偿”货币政策策略。本文还将讨论“预测目标制” (forecast targeting) 的一般策略,并在一定程度上将其与遵循泰勒规则的框架进行比较。
本文结构如下:第2节关注美联储的法定目标。第3节讨论了泰勒规则和预测目标制之间的抉择。第4节研究了价格水平目标制,第5节讨论了临时价格水平目标制。第6节研究了平均通胀目标制,第7节给出了一些结论。
2. 美联储的双重使命
美联储的法定职责 (statutory mandate) 是促进充分就业和物价稳定。FOMC已决定,从长期来看,对称的2%通胀目标与其法定职责最为一致。
关于充分就业,FOMC指出,与通胀率相比,充分就业水平在很大程度上不是由货币政策决定的,而是由影响劳动力市场结构和动态的非货币因素决定的。这些因素可能会随时间的推移而改变,而且无法直接测量。因此,不宜制定固定的就业目标。相反,就业最大值必须由一系列指标来估计,而这种估计是不确定的,并须加以修订。一个重要的指标是FOMC对长期名义失业率的估计。
FOMC就如何制定货币政策提供了进一步的解答:
在制定货币政策时,委员会力求减轻通胀对其长期目标和就业对其对最高估计水平的偏离。这些目标通常是相辅相成的。然而,在某些情况下,当委员会认为目标不再是互补时,它会采取一种平衡的办法 (balanced approach) 来实现目标。在此过程中,会考虑偏离的程度,以及就业和通胀恢复到与法定目标相一致水平所需的不同时间范围。
上述“一种平衡的方法”,以及伯南克“我们把这两件事 (通胀目标和自然失业率) 看得同等重要”的声明,可以理解为对稳定通货膨胀和稳定失业的同等重视。事实上,耶伦曾说:
FOMC所支持的平衡策略与以下观点一致:充分就业和物价稳定作为货币政策目标是平起平坐的。
此外,Clarida指出:
作为一个实际问题,我们当前的策略与研究文献中所称的“灵活通胀目标制” (flexible inflation targeting) 有许多相同的元素。然而,与最灵活的通胀目标制央行相比,美联储的使命对就业有明确得多的规定。我们的声明也反映了这一点,即当使命双方发生冲突时,任何一方都不优先于另一方。
3. 实现双重使命
美联储应如何实施货币政策,从而最好地履行其稳定物价和最大化就业的使命?美联储应该遵循什么样的决策过程,它应该依据什么样的信息,以及它应该如何设定政策工具?美联储应该公布哪些信息、考量和决定?联邦政府怎么才能对美联储的政策实施进行最好的审查,美联储如何才能最有效地履职?
本节研究了泰勒式的政策规则 (Taylor-type rule) 或预测目标制 (forecast targeting) 能否最好地实现美联储的使命。并讨论了预测目标制对上述问题的答案。
3.1 泰勒式的政策规则
经常有人建议,美联储应该遵循泰勒式规则,以便最好地履行其职责,这里所说的泰勒式规则是指原版泰勒规则的各种变体。FOMC主席应在每次FOMC会议后不久提交一项指导性政策规则 (Directive Policy Rule, DPR),该规则应确定政策工具,以及中间政策输入 (Intermediate Policy Inputs) 的系数。具体来说,DPR应包括一项声明,说明指导性政策规则是否基本上符合参考政策规则 (Reference Policy Rule),如果适用,还应说明它偏离参考政策规则的程度,并详细说明偏离的理由。重要的是,参考政策规则被指定为联邦基金利率的标准泰勒规则:

其中it表示第t季度的联邦基金利率,πt表示前4个季度的通胀率,而yt表示GDP与潜在GDP估计值之间的差距。
然而,泰勒式规则存在相当大的问题,在许多情况下,这些规则会导致糟糕的经济结果。泰勒式规则限制性太大,机械性太强,不能充分考虑所有相关信息,缺乏处理复杂多变情况所需的灵活性。
更准确地说,正如Svensson所言,首先,泰勒式规则并不是最优的,在某些情况下,它离最优还相去甚远。泰勒式规则使政策利率对当前的通胀、GDP和失业缺口以固定系数作出响应,但良好的货币政策需要对更多信息作出反应。特别是,为了更好地实现充分就业和物价稳定的目标,政策利率仅对当前的通胀水平、GDP和失业水平作出反应是不够的。相反,最优货币政策需要对决定未来通胀和就业的因素作出反应。
其次,相关的重要信息取决于环境和时间的变化。为了最好地实现这一使命,判断 (超出特定模型范围的信息、知识和视角) 在现代货币政策中发挥着至关重要的作用,恰当地运用良好的判断可以显著提高货币政策的绩效。但泰勒式规则却没有留给判断调整的余地。
第三,由于学习和新信息所带来的货币政策的有益发展,将与特定泰勒式规则的承诺 (或立法) 相冲突。
最后,尽管进行了大量的学术研究和宣传,但没有一家央行真正选择遵循泰勒式规则 (著名的央行官员对此嗤之以鼻)。简而言之,泰勒式规则在最好地完成使命这个层面并非是最优的,而且过于死板,无法适应不断变化的环境。
对于上述这些问题,特别是第二个问题,一个可能的答案是不应机械地遵循泰勒式规则。相反,应该允许偏离规则。泰勒规则应仅被视为货币政策的“指导方针”。这是Taylor1993年原始提议中所表达的观点,并在Taylor2000年的文章中进行了更详细的阐述。
然而,上述答案的一个问题是规则是不完整的:虽然允许一些偏差,但对于什么时候偏离工具规则是合适的却并没有规定。正如Svensson详细讨论的那样,这可能会使以简单工具规则为货币政策的指导方针变得过于模糊,难以操作。
3.2 预测目标制
那么,FOMC的货币政策制定应遵循什么样的规则,才能随着时间的推移更好地履行美联储的职责呢?Svensson认为,预测目标制很可能使FOMC有效地履行其职责。事实上,预测目标制是伯南克在一份声明中简要提到的规则:
美联储有一条规则。这条规则是,我们将追求2%的通胀率;我们将追求自然失业率;我们把这两件事看得同等重要;我们会告诉你我们的预测,我们的利率。这是一条规则,也是一个框架,应该使大家明确美联储正在做什么。
这一声明表明,美联储已经在相当大的程度上实行了预测目标制。预测目标制是指设定政策利率 (联邦基金利率) 和政策利率路径,从而对美联储目标变量——通胀和就业 (或失业)——的最终预测最好地履行美联储的使命。预测目标制还包括公布并证明FOMC的政策利率路径以及通胀和就业预测的合理性。这有助于有效地执行所选择的政策,使其在金融市场和其他经济机构中具有可信度,并使美联储有可能履行其职责。
为了阐明预测目标制是如何工作的,简单起见,考虑一个相对常态的情况,即美联储没有采取任何主动的资产负债表政策,而只是使用利率政策——联邦基金利率——作为其政策工具。此外,为简便起见,假设劳动力市场参与率独立于货币政策,因此,出于货币政策目的,就业与失业呈负的一一对应关系。那么,最大就业对应FOMC所谓的长期名义失业率,我则将称之为 (最低) 长期可持续失业率。在这种简化下,美联储的任务是保持通胀接近2%的目标,失业率接近其长期可持续失业率的估计值。
然后需要考虑两个重要的情况:首先,货币政策执行对经济活动和价格的影响往往具有滞后性。因此,如果货币政策以对未来通胀和失业的预测为指导,而非以目前的通胀和失业为指导,那么它在履行使命方面就会更加有效。
其次,当前的政策利率对经济活动和价格的直接影响非常小。对经济活动和价格而言,真正重要的是市场对未来政策利率的预期。这些预期会影响长期利率和资产价格,进而影响经济活动和价格。影响经济活动的是未来政策利率的整个预期路径,而非未来几天或几周的政策利率。这意味着,一个有效的货币政策决策不能只包括设定当前的政策利率,它必须露骨地或含蓄地涉及政策利率路径的选择,即对未来政策利率的预测。不讨论和不选择政策利率路径是一个不完整的决策过程。
有鉴于此,FOMC有效履行职责的一条规则是,选择一个政策利率和一个政策利率路径,以使最终的通胀和失业率预测“看起来不错”。在这里,“看起来不错”意味着最好地履行美联储的使命,也就是说,最好地将通胀稳定在目标水平附近,将失业率稳定在长期可持续水平附近。
预测一般应是均值预测 (mean forecasts),而不是一般的模态预测 (modal forecasts)。相对于模态预测,均值预测可以看作是风险调整后的预测。
3.2.1 为什么预测目标制比泰勒式规则更好?
首先,它考虑了美联储可获得的所有相关信息。它考虑了有关经济体、经济活动和价格水平的信息,这些信息对给定政策利率路径下的通胀和失业预测有影响。它还考虑了有关货币政策传导机制的所有相关信息,即政策利率路径的变化如何在给定经济现状下影响通胀和失业预测。
第二,规则因此可以适应新的信息和环境的变化。它允许做出判断性的调整,避免了泰勒式规则的限制和僵性。所选择的政策利率路径以及对通胀和失业率的预测,实际上将是模型模拟 (有时来自多个模型) 和判断调整的组合。
然而,要想成功地实施和实现所选择的政策,政策利率路径必须是可信的,即对未来政策利率的市场预期与政策利率路径保持一致。货币政策的实施主要是对预期的管理。这包括使实际金融环境与金融环境保持一致,预期金融环境可以用政策利率路径表示。
经济主体对未来通胀的预期也很重要。如果FOMC能使通胀目标可信,也就是让经济主体的通胀预期与通胀目标保持一致,那么将通胀稳定在目标附近就会变得更容易,因为实际通胀很大程度上受之前通胀预期的影响。这样一来,将失业率稳定在长期可持续水平也就更容易了。通胀稳定在目标水平附近,而失业率稳定在长期可持续水平附近,两者之间的权衡也会变得更为有利。
要使政策利率路径在市场参与者和其他经济主体中可信,最有效的办法是公布政策利率路径以及通胀和失业预测,并证明它们和政策的合理性。不公布政策利率路径将会隐藏最重要的信息。因此,前瞻指引将是必备的。
3.2.2 反应函数
人们普遍认为,央行应该向市场参与者和其他经济主体传达其反应函数。然而,在预测目标制下,反应函数 (即政策利率和政策利率路径对央行可用信息的反应) 太过复杂,无法用泰勒规则这样的简单公式来表示。政策利率和政策利率路径通常会对所有相关信息做出反应,即所有改变通胀和失业率预测的信息。这是一个很长且不断变化的列表,其中的反应系数也无法预先指定。
然而,反应函数也可以以一种更一般的方式表达。如果最初的预测看起来不错,对于任何将通胀预测上调 (下调) 和/或失业率预测下调 (上调) 的信息,政策通常会收紧 (放松),这意味着政策利率路径将上调 (下调)。如果市场参与者理解并相信这种反应,任何被认为将使通胀前景向上 (下降) 或失业前景向下 (上升) 的新信息,都可能导致收益率曲线上移 (下移) 的市场反应。通过这种方式,金融状况可能会向适当的方向转变,甚至可能在央行采取新的政策利率和政策利率路径之前,就已经向适当的方向转变。
最后,FOMC公布政策利率走势、通胀和失业率预测并证明其合理性,有助于其履行自己的使命。FOMC对这些措施的合理性及其使命的履行情况,可以进行实时审查和事后审查,即在外部观察人士和专家观察到通胀和失业的结果之后,以及在国会听证会上进行审查。总而言之,预测目标制可以被视为一种“受约束的自由裁量权”,在这种情况下,完成使命的约束最为明显。
3.2.3 预测目标制总结
预测目标制可以归纳和简化为以下三个步骤:
-
对于给定的政策利率路径 (例如,上次决策制定的),考虑自上次决策以来收到的新信息,构建新的通胀和失业预测。
-
如果新的通胀和失业预测看起来不错 (意味着最好地完成使命),那么选择给定的政策利率路径作为决策;如果新的通胀和失业预测看起来不太好,就要调整政策利率路径,从而让它们看起来不错。
-
公布政策利率走势、通货膨胀和失业率预测,并证明其合理性,以使公布的走势和预测可信,这意味着让市场参与者和其他经济主体的预期与公布的走势和预测保持一致。
3.2.4 美联储在多大程度上已经实行了预测目标制?
美联储在多大程度上已经实行了上面所总结的三步骤?关于步骤一和步骤二——选择合适的政策利率路径,这些工具和技术都已展示在FOMC的Tealbook B中了,特别是对所谓的约束和无约束最优控制策略 (Constrained and Unconstrained Optimal Control Policy) 的模拟 (图3.1)。该图对比了2013年1月Tealbook和2012年12月Tealbook中的最优控制模拟。模拟包括基线预测中使用的有关基本经济状况的假设,以及Tealbook对资产负债表政策的假设。政策制定者们在保持总体通胀率接近2%的目标、失业率接近对实际自然失业率估计值、以及将联邦基金利率的变动降至最低等问题上,应该给予同等的重视。耶伦也给出了类似的模拟结果 (图3.2)。


关于第三步——公布和证明该决定的合理性,FOMC已经公布了其经济预测摘要 (Summary of Economic Projections, SEP),其中包括FOMC参与者根据他们对适当货币政策的个人评估作出的经济预测。
然而,SEP中对联邦基金利率、通货膨胀和失业率的预测中值在概念上明显不同于上文讨论的预测目标制中的政策利率路径以及通胀和失业预测。重要的是,SEP的预测并非是FOMC联合决定的结果。SEP预测中位数是FOMC每个参与者 (即投票者或非投票者) 预测的中位数,而非每个成员 (投票者) 预测的中位数。因此,它对投票者和非投票者一视同仁。此外,并非所有投票者在决策中都有同样的分量;特别是,联储主席在决策中比其他人更有分量。
此外,联邦基金利率、通货膨胀和失业率的预测中值不具有一致性,它们不是一个中位数参与者的预测。相反,它们可能由不同参与者的预测组合而成,联邦基金利率、通胀和失业之间的组合可能会有所不同。此外,参与者可能有不同的经济和货币政策传导模型。因此,联邦基金利率的预测中值通常与通胀和失业率的预测中值不一致。将参与者姓名首字母与预测一起公布,将提供更多信息,并缓和其中一些问题。
决策过程中,FOMC联合达成明确的政策利率路径,并作出相应的通胀和失业预测,这将更符合预测目标制。当FOMC同时还要决定资产负债表政策,从而拥有若干政策工具时,这一过程面临困难是自然的。然而,当缩表自动执行,FOMC将联邦基金利率作为唯一政策工具时,或许这种决策过程是可能且可以遵循的。
4. 价格水平目标制
灵活通胀目标制意味着不理会过去对通胀目标的偏差,“过去的就过去了” (bygones are bygones)。即使在很长一段时间里通胀低于目标 (由于政策没有足够的扩张性,例如ELB的约束),也没有人试图在未来一段时间内通过超调目标来弥补之前的时期。如果长期平均通胀率低于通胀目标,通胀预期就可能会低于目标水平,使未来实现目标更加困难。
为了避免这种结果,一些经济学家和政策制定者提倡各种“补偿”策略,即政策中包含部分或完全抵消之前通胀偏离目标的情况。这些策略也被称为“历史依赖” (history dependent) 策略。
灵活价格水平目标制 (过去的通胀偏差最终会完全被抵消) 是这些策略中最突出的一种,最近也得到了广泛的讨论。它并非围绕通胀目标来稳定通胀,而是围绕价格水平目标来稳定价格水平。价格水平目标制并非恒定的,而是遵循与稳定的正通胀率相对应的确定性增长路径。
灵活价格水平目标制可以表示为:

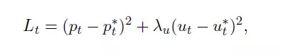
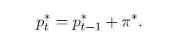
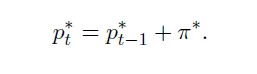
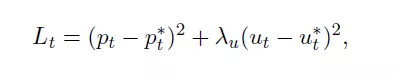
其中,λu是相对于价格水平稳定,失业稳定的权重。这里的pt表示 (log) 价格水平目标,具体可分解为:

因此,价格水平目标对应一条以恒定速率π* (例如2%) 增长的价格水平目标路径。因此,基年和增长速率的选择就至关重要了。
理论上,价格水平目标制将使价格水平趋势平稳 (trend-stationary),而价格水平将显示向价格水平目标路径的均值回归。未来价格水平的条件方差将是有界的,长期价格水平的不确定性将远小于通胀目标制下的不确定性。价格水平目标制将使长期通胀保持稳定,并接近隐含的通胀目标。
实际情况在一些发达经济体中看起来截然不同。加拿大、澳大利亚、欧元区、英国和美国的价格水平表明 (图4.2, 4.4, 4.6, 4.10),这些经济体的价格水平结果直到2008-09年金融危机前,看上去都不像随机游走,但与价格水平目标制惊人地相似。事实上,到2014年,加拿大离价格水平目标制仍然很近,而欧元区到2014年的情况也大致如此。






加拿大的价格水平为何如此密切地跟随价格水平目标路径,已经有几篇论文讨论过。原因包括小规模对称的冲击或政策设置中一些固有的纠错行为,例如,高度的利率平滑。但是,加拿大央行并没有在暗中有意识地追求价格水平目标制。
与通胀目标制相比,价格水平目标制的一个好处是,价格水平的长期不确定性较小。
另一个被广泛讨论的好处是,如果价格水平低于一个可信的价格水平目标,即使名义利率不变,通胀预期也会上升并降低实际利率。降低实际利率将刺激经济,使价格水平回到目标。
此外,如果菲利普斯曲线与附加预期的菲利普斯曲线相似,那么通胀预期的增加将对通胀产生单独的直接影响。因此,可信的价格水平目标可能意味着某种——甚至是实质性的——“自动”稳定的功能。理论研究已经表明,这种自动稳定可能导致通胀率和产出的波动较低。
自动稳定将是非常可取的,特别是在ELB具有约束力而名义利率无法进一步降低的情况下。近年来,这一吸引人的特性提高了人们对价格水平目标制的兴趣。
然而,自动稳定将在价格水平目标可信的情况下发挥作用,即私营部门相信央行将采取行动,限制价格水平偏离目标,并可以成功使价格水平回到目标。想要建立这样的信誉,可能需要一段时间让经济主体可看到,央行操作并持续实施价格水平目标制。正如通胀目标制一样,央行也必须通过一段时间的持续实施,来实现其通胀目标的可信度。
正如伯南克所指出的那样,价格水平目标制“既往并非不咎”的特性是一把双刃剑。在对称的价格水平目标制下,央行不能“看穿”暂时推高通胀的供应冲击,但必须致力于收紧政策,以扭转冲击对价格水平的影响。然而,这意味着即使供应冲击抑制就业和产出,紧缩政策也可能是痛苦的。如果价格水平目标制可信,通胀预期下降,实际成本就会降低,但如果价格水平目标制不可信,抵消供应冲击和正向通胀冲击的成本就会更高。
加拿大央行对价格水平目标制进行了大量研究,并在其2011年5年一度的“通胀控制”目标回顾中认真进行了考虑。结论如下:
最近的研究表明,从最有利的模型模拟中可以发现,价格水平目标制的潜在收益虽然不大,但在经济上意义重大,一旦考虑到ZLB的成本和风险,这些收益有望得到提高。然而,这些模型假定经济主体具有前瞻性,完全理解价格水平目标制的含义,并相信决策者会履行其承诺。如果这些条件不能完全满足,价格水平目标制带来的净收益虽然较小,但可能仍然是积极的。目前还不清楚,在现实世界中,它是否会得到足够的满足,从而使央行有信心认为,价格水平目标制能够改善目前的通胀目标制框架。
因此,加拿大央行没有采取行动。明确的价格水平目标制可能只出现在20-30年代的瑞典,但其时间太短,也太特殊,不能得出任何普遍结论。
无论如何,美联储需要进行自己的成本收益分析,以评估采取灵活价格水平目标制的利弊,同时还要考虑相关参数,包括受到ELB限制的可能性。
套用FOMC的说法,在制定灵活价格水平目标制下的货币政策时,FOMC将寻求减轻价格水平与长期目标的偏离,以及就业与最大可持续水平估计的偏离。这些目标一般是互补的。然而,当FOMC认为这些目标并不互补时,它将采取平衡的方法来促进这些目标的实现。
有些人说,价格水平目标制比通胀目标制更难沟通。我不认为有必要这样说。首先,金融市场不应在理解价格水平目标制方面存在任何困难。其次,我不明白为什么公众从价格水平的变化率来思考,一定比从价格水平本身来思考更自然。现在,关于商品、服务和资产价格——特别是汇率——以及工资的许多讨论,在水平和变化率这两方面都是一样多的。很多关于宏观经济总量的讨论——比如就业、失业和GDP——都是基于水平,而不仅是基于变化率。
对于价格水平目标,很多讨论将集中于当前和未来的价格水平及其与价格水平目标路径的关系,而不是通货膨胀率。与通货膨胀率相比,价格水平路径图在媒体中可能更常见。在任何情况下,如果价格水平低于这条路径,那么可以说,价格水平需要重新回到这条路径上,而通胀必须在一段时间内高于长期平均水平。
然而,对许多央行来说,从通胀目标制跳到全面的价格水平目标制似乎风险太大。一个折中办法是,当面临ELB约束时,可以选择临时价格水平目标制。
5. 临时价格水平目标制
在2010年9月的FOMC会议上,芝加哥联储主席Charles Evans提出了临时价格水平目标制。Evans认为,该提议的背景是,当时更宽松的政策是适当的。他认为,对美国经济最恰当的描述是,它正处于真正的流动性陷阱之中。
Evans提出了一个基于各州情况的价格水平目标,与2007年12月经济衰退开始时,核心PCE指数年均3%的增幅保持一致。为实现这一目标,必须采取货币政策行动。具体地说,这一视各州情况而定的政策目标将一直持续到实际的核心PCE达到目标水平为止。一旦有足够的信心达到这一条件,政策将恢复到正常的反应模式,在中期实现2%的PCE通胀。该政策还将得到大规模资产购买的支持。模拟的FOMC声明还指出,“如其他支援行动被认为有帮助或有需要在合理时间内达到目标价格水平,委员会将会采取一切必要行动”——比欧洲央行行长马里奥 德拉吉“不惜一切代价”的声明早了近两年。
因此,这是一种临时价格水平目标,一旦有足够的信心达到中期通胀目标2%,就会退出。如果FOMC率先采取行动,并在2010年秋季采纳该提议,我们今天无疑会更明智一些。如果今天的全面评估还会举行,而且没有被认为是多余的,那么它的结果将是这次会议上一个明显的主要讨论点。
最近,伯南克提议,在未达到ELB时,FOMC应宣布,当ELB在未来具有约束力时,它将实施临时价格水平目标制。当未来联邦基金利率处于或接近ELB时,提高利率的一个必要条件是,自联邦基金利率首次触及零以来的平均通胀率至少为2%。除了这一必要条件外,在决定是否将联邦基金利率从零上调时,委员会还将考虑劳动力市场的前景,以及通胀回归目标水平是否具有可持续性。
平均通胀标准相当于一个临时的价格水平目标,只适用于ELB事件期间。这一标准是用通胀目标的语言表述的,伯南克认为从沟通的角度来看,通胀目标的表述是一个优势。
这些关于临时价格水平/平均通胀的建议可以看作是,有更高通胀目标的通胀目标制与永久的价格水平目标制之间的妥协。但是,如果它们只是偶尔和临时使用,经济主体将不会很习惯,可能需要大量的解释和沟通。而且,这可能还不足以让临时价格水平目标可信,在这种情况下,通胀预期提高的有利影响可能不会出现。信誉通常是需要赢得的,这意味着经济主体需要看到政策的实施及其原则得到遵守,以便相信它将得到维持并在未来取得成功。永久性的妥协可能更可取,比如永久性的平均通胀目标制。
6.平均通胀目标制
所谓平均通胀目标制,也是一种灵活通胀目标制,但其目标是超过一年以上时段内的平均通胀率。为了简单和具体,让我假设一个5年的平均期。
套用FOMC的说法,在设定平均通胀目标制下的货币政策时,FOMC将寻求减轻平均 (和年度) 通胀与长期目标的偏离,以及就业与FOMC对其最大可持续水平估计的偏离。这些目标通常是相辅相成的。然而,在某些情况下,当委员会认为目标不再是互补时,它会采取一种平衡的办法来实现目标。在此过程中,会考虑偏离的程度,以及就业和通胀恢复到与法定目标相一致水平所需的不同时间范围。
为了减少平均通胀与通胀目标之间的偏离,FOMC将采取激励措施,防止年度通胀率长期低于或高于通胀目标。如果年度通胀在多年内都低于通胀目标,那么此后通胀将超调一段时间,以求将平均通胀稳定在目标附近。
更具体地说,如果过去2.5年的平均通胀低于目标,那么未来2.5年的平均通胀就会超过目标,从而使整个5年的平均通胀更接近通胀目标。与此同时,委员会也会持续考虑到劳动力市场的前景。
一些央行似乎对超调通胀有些 (可以说是非理性的) 恐惧,而这可能会导致通胀偏低。平均通胀目标制将使一次又一次的超调正常化,并有助于消除这种担忧。
在美国目前的情况下,5年平均通胀率已低于通胀目标8年左右 (图4.11中核心PCE)。在平均通胀目标制下,货币政策的目标是 (其他条件相同),是让年通胀率在未来几年超过目标,从而使5年平均通胀率更接近目标。
当ELB开始有约束力时,这将与伯南克提出的临时价格水平目标制相对应,特别是当后者以平均通胀为指导时,只是伯南克的临时平均通胀目标制没有固定的期限。这是因为,上调联邦基金利率的一个必要条件是,自其首次触及零以来的平均通胀率至少为2%,不管需要多长时间。FOMC可以很容易地采纳伯南克的建议,方法是作出承诺,自ELB开始生效时,将平均通胀目标制的期限无限期延长,直到达到平均通胀目标为止。
与临时价格水平目标制的一个重要区别是,灵活的平均通胀目标制将是永久性的,并始终有效。市场参与者和公众将看到对政策实施和原则的遵守。这使它更为可信,并纳入正常的预期形成。那么,ELB产生约束力时,它也更可信。因此,这将有助于在这种情况下取得更好的经济表现。
此外,假设平均通胀目标制变得可信。那么,在无ELB的正常环境下,通胀预期可能会向有利的方向移动。如果几年来年通胀率一直低于目标水平,那么未来几年的年通胀率预期将高于目标水平,从而通过在名义利率不变的情况下降低实际利率,引发更具扩张性的货币政策。
此外,考虑通胀预期对菲利普斯曲线的影响,更高的通胀预期将通过这一渠道独立地增加通胀。当前,菲利普斯曲线平坦化,通货膨胀对劳动力市场和其他相关市场松紧的反应更弱,这种渠道可能会更加有利。
然而,如果年通胀率连续几年超过目标,对称的平均通胀目标要求在其他条件相同的情况下,将年通胀率降低到目标以下数年。如果自动稳定起作用,通胀预期就会下降,从而减少必要的紧缩政策和可能的相关就业成本。然而,在某些情况下,例如负供给冲击,收紧政策可能是相当不可取的,而允许价格水平永久变动可能是合理的。
一个明显的例子是2000年7月1日澳大利亚引入了10%的商品和服务税,CPI上涨3%。因此,未来4个季度的年通胀率提高了3%,未来5年的5年通胀率提高了0.6%。公众和金融市场完全预料到物价水平的上升,澳洲央行没有设法抵消物价水平的影响。
灵活的平均通胀目标制代表了当前通胀目标的连续性,但也包含了相当大的改善潜力。特别是,平均通胀目标的可信度将意味着通胀预期的变动和自动稳定,这将改善货币政策在ELB时的表现,并可能改善菲利普斯曲线平坦化下的通胀控制。
此外,如果平均通胀目标制运行良好,那么通过向更长的平均周期和更大的平均通胀权重演进,从向价格水平目标制贴近,可能带来进一步的好处。如果它不能很好地发挥作用,应允许退回到当前的年度通胀目标制。
7. 结论
本文认为,与遵循泰勒式的规则相比,预测目标制是实现美联储双重使命的一种更好的总体策略。此外,本文还考虑了相对于标准的灵活通胀目标制而言,三种“补偿”策略的优缺点:灵活的价格水平目标制、临时价格水平目标制和平均通胀目标制。
总的来说,平均通胀目标制比其他策略有一定优势。相对于通胀目标制,如果它能够变得更具可信度,那么它就有一些令人满意的自动稳定特性。在这种情况下,通胀预期将向有利方向变化,从而缓解ELB和菲利普斯曲线平坦化所带来的问题。
相比于受ELB约束时的临时价格水平目标制 (也可以称为临时平均通胀目标制),平均通胀目标制的优势在于它将一直运行,而不只是在ELB时运行。这意味着,随着时间的推移,经济主体将看到它的持续运作,从而使得其更可能被很好地理解,也更可信。在临时平均通胀目标制下,它没有固定的平均周期,具体视达到平均通胀目标所需的时间而定。FOMC可以承诺,自达到ELB开始,平均通胀目标的期限将无限期延长,直到达到平均通胀目标为止。
与价格水平目标制相比,从年度通胀目标制迈向平均通胀目标制,步子较小。这种转换具有连续性,因为平均通胀目标制可以看作只是把通胀平均期间从一年延长到几年。这可能是沟通方面的一个优势。
此外,这里所述的平均通胀目标是相当灵活的。它考虑了年度和多年平均通胀目标的一些权重,也保留了年度通胀目标制的某些方面。如果平均通胀目标制获得成功,平均的周期可以延长,这样就更接近于价格水平目标制度。如果不太成功,平均通胀目标制也可以退回到之前的通胀目标制。
在讨论中,对稳定平均通胀、年度通胀和就业的权重的分配一直没有定论。在模型中,最优权重的选择可能相当复杂,而且取决于经济中的惯性程度和前瞻及后顾因素。选择平均期也需要慎重考虑。文中用了5年作为例子,但是合适的平均期可长可短。
另一个有待解决的问题是,在某些特殊情况下,是否应存在某些特殊条款,在此情况下,强制执行对称的“补偿”机制可能是不合适的。在转向价格水平目标制时,同样也会遇到这个问题。
来源:Lars E.O. Svensson, "Monetary Policy Strategies for the Federal Reserve", 30 May 2019
本文首发于智堡公众号(zhi666bao)
声明:本文仅代表作者个人观点,不代表智堡立场


评论