文 | 华夏能源网
根据最新的国务院常务会议,明年2020年1月1日起,现行标杆上网电价机制,将改为“基准价+上下浮动”的市场化机制,意味着煤电价格联动机制的寿终正寝。从此电价有了相对固定的锚,也有了波动下限。
在“去产能”和高煤价的双重压力下,火电企业近来的日子并不好过。就连根正苗红的央企也是如此。
2018年12月29日,上海清算所发布消息称,大唐发电控股的子公司大唐保定华源热电有限责任公司(华源热电)近日申请破产清算,牵涉到该公司目前在银行间市场存续的五期债务(共计145亿元)。由此可见,即使是央企,也不是万能的保险箱,面对市场波动,破产依然在所难免。
无独有偶,另一家央企旗下也有企业陷入了转卖之中:去年8月17日,华润电力与国源时代煤炭资产管理有限公司(下称“国源公司”)签署了《股权转让框架协议》,前者同意转让间接持有的全资子公司华润煤业,及华润煤业旗下三家煤炭企业的股权及下属所有煤矿:山西华润联盛能源投资有限公司;山西华润煤业有限公司;太原华润煤业有限公司。但不包括华润煤业目前持有的除三家公司以外的所有其它公司和股权,这部分资产由华润电力负责从华润煤业中剥离。
为何煤炭价格一涨,电力企业 就陷入困境呢?这还要从源头开始讲起。
煤和电的是是非非
众所周知,电力属于二次能源,需要由一次能源产生。而电力的来源无非就那么几种:
1)火力发电;
2)水力发电;
3)风力发电;
4)核能发电。
因为全社会对电力的需求是刚性的,并且趋势永远是增长的,如果放弃某种发电方式,产生的电力缺口就只能用其他发电方式来填补。

【表】全球电力生产结构汇总
由于燃煤发电价廉,一直居高位,2010年占全球发电总量的8698/21577.7= 40.3%,到2017年回落速度缓慢,仍然保持在9723.4/25551.3= 38.1%。2017年最大的燃煤发电生产国是中国,占全球燃煤发电总量的4360.9/9723.4= 44.8%,其次是美国,占总量的1314/9723.4= 13.5%,比去年有所回落。

【图】燃煤发电(单位:TWh)
燃油发电占化石燃料发电份额较少,2017年仅占全球发电总量的883/25551.3= 3.5%。其中燃油发电最多的国家是沙特(意料之中,油比水还便宜的地方),占燃油发电总量的154.3/883= 17.5%,其次是日本,占54.8/883= 6.2%。
国内:煤炭依然是发电的主力军
提到火力发电,一般人的印象可能是这样的:高耸的烟囱,永远不停的黑烟,难闻的气体,爆表的空气污染指数……总之,火力发电,似乎天生就和污染结下了不解之缘,这也是火电的“原罪”。
但实际上,这种偏见不但错了,而且错的离谱。在过去的十几年里,能耗高,污染大的传统煤电厂纷纷被关停,取而代之的是大型环保的煤电厂,在这样的电厂里,不仅应用最新的技术使得煤炭燃烧更有效率,并且产生污染的气体早已被回收利用,黑烟滚滚已经成为历史。
截至2017年末,达到超低排放限值的煤电机组已达7亿千瓦,占全部煤电机组的71%;累计完成煤电机组节能改造6.04亿千瓦,已完成到2020年改造任务的96%;我国电力行业二氧化硫、氮氧化物、烟尘三项污染物的排放总量已从峰值的2950万吨下降到2017年的260万吨,降幅高达92%。全国燃煤电厂100%实现脱硫后排放。现代的煤电行业,早已告别了“傻、大、黑、粗”的传统,变得非常清洁。

【图】处理污染的“秘密武器”:电除尘器
通过静电吸附和震打锤敲击,将粉尘收集在灰仓中,在通过仓泵以及压缩空气和输灰管道的配合将灰吹入下图灰库中,并由采购方采购,做类似加气块等的附加产品
以国内清洁煤电的典范——上海外高桥第三发电厂为例,该厂2016年平均能耗水平是美国先进电厂的85.7%,氮氧化物排放水平仅为其五分之一。2017年该厂在严峻的发电形势下,其实际年平均供电煤耗仍然有望低于280克/千瓦时,优于2016年;氮氧化物、二氧化硫、烟尘等年平均排放指标也都创造了历史最好成绩,据预测将分别低于13.6、10.7、1.3毫克/立方米,继续保持世界煤电节能减排的领先水平。
煤电,目前中国的最佳选择
说了这么多,虽然煤电的污染无法绝对消除,但现代科学技术的广泛应用,以及严格标准的实施,已经将污染可能造成的危害降低到最低程度。相比之下,其他的发电形式似乎更加清洁,但这样的结论能否经得起推敲则是要打上大大问号的。
1)水电:虽然没有废气排放,但应用范围相对比较有限,只适用于水能资源较为丰富的地区,并且建设水电站也会带来一系列复杂的生态环境问题。

2)风电:完全的绿色发电方法,但应用范围极为有限,只适用于风能较为丰富的地区。
3)太阳能发电:也是完全的绿色发电方法,但同样有适用范围的问题,例如在多阴雨的地区,太阳能发电很明显是赔本买卖。
4)核电:虽然是很有前途的发电途径,但由于技术要求较高,在国内还处于试点阶段,仅仅在少数地区实现了应用。

【图】2016年中国各种发电类型比例

【图】中国2016年不同发电方式发电量增长情况对比
总而言之,目前的中国,不能没有煤电,也离不开煤电。
动力煤的市场周期
煤炭依照用途的不同,可以分为焦煤和动力煤两类。焦煤的主要作用是生产焦炭,用作金属冶炼的原料,在本文中不做讨论。
广义上来说,凡是以发电、机车推进、锅炉燃烧等为目的,产生动力而使用的煤炭都属于动力用煤,简称动力煤。我国的动力煤消费结构中,有65%以上是用于火力发电;其次是建材用煤,约占动力煤消耗量的 20%左右,以水泥用煤量最大;其余的动力煤消耗分布在冶金、化工等行业及民用领域。
煤炭这十年:历史趋势波动回顾
2008~2011:疯狂的煤炭
往前追溯到2008年,当年的煤炭价格可谓过山车一般,二季度开始煤价快速上涨,8月份达到顶峰,之后价格突然跳水。以秦皇岛的发热量超过5500大卡的山西优混为例,2008年1月末的价格为570元/吨,5月初的价格为620元,但到7月份的最高价竟达到了1000元,12月初又回落到了570元左右。
为了限制疯涨的煤价,2008年发改委连续下发两次限价令,6月19日下发《关于对全国发电用煤实施临时价格干预措施的公告》。40天之后的7月23日,再次下发《国家发展改革委关于进一步完善电煤价格临时干预措施的通知》。
2011年,煤炭“黄金十年”结束的前一年,也是煤炭价格最为鼎盛之时。发改委在11月30日宣布,将在全国范围内对发电用煤(电煤)实施临时价格干预措施。2012年度合同电煤价格涨幅不得超过上年合同价格的5%。自2012年1月1日起,秦皇岛等环渤海地区主要港口5500大卡电煤平仓价最高不得超过每吨800元人民币;通过铁路、公路运输的电煤市场交易价格,不得超过煤炭生产经营企业今年4月底的实际结算价格。
2011~2015:煤炭的寒冬
从2010年至2015年,全国经济增长速度从10.4%下降到2014年的7.4%,呈逐年降低趋势。然而,全国煤炭产量却从2010年的32亿多吨增长到2014年的38亿多吨,增长近19%。2015年国内煤炭产能约42亿吨,加上每年约2亿吨的煤炭净进口量,预计我国煤炭供给能力约44亿吨,而2015年我国煤炭消费量约为39亿吨。此外,截至2015年末,煤炭社会库存高达3.5亿吨。煤炭明显处于产能过剩状态。
在这样的背景下,煤炭价格加速下跌,毛利率水平从30%左右一路下降到2015年的15%左右,煤炭企业叫苦不迭。经历黄金十年后,煤炭行业步入低谷的十年。
为改善供需格局,抑制煤价下跌,2016年以来,国务院及各省市出台了一系列煤炭去产能政策。2016年2月5日,国务院发布煤炭行业去产能的纲领性文件《国务院关于煤炭行业化解过剩产能实现脱困发展的意见》(以下简称《意见》),对煤炭产能影响最大的包括三点:(1)从2016年开始,用3至5年的时间,再退出产能5亿吨左右、减量重组5亿吨左右;(2)2016年起,全年作业时间不超过276个工作日(简称“276个工作日”政策);(3)2016年起,3年内原则上停止审批新建煤矿项目、新增产能的技术改造项目和产能核增项目;确需新建煤矿的,一律实行减量置换。

强大的去产能政策,终于使得煤炭行业苦尽甘来。翻看近两年动力煤的走势图,则可以总结为两个阶段:一是2016年的持续上涨阶段,二是后面的高位宽幅震荡阶段。
2016年开始的大牛市行情回顾
在大周期上看,2016年要属动力煤市场的最耀眼的一波牛市行情。从2015年11月底到2016年11月初,动力煤经历了接近1年的持续性上涨行情。最低点从285.8元/吨到最高点669.4元/吨,累积最高涨幅达134%。

这一年也是动力煤的一个政策年,16年以来,为了解决煤炭市场供大于求的问题,国家陆续出台了一系列政策措施,缓解供需矛盾,动力煤从4月底开始突破底部形态转为持续多头趋势,价格也是一路水涨船高,煤炭厂商自然也是盆满钵满。
第二阶段—进入高位区间震荡阶段
随着国内“保供应、稳煤价”措施的实施,2016年11月中下旬动力煤从高位回落,直到现在,动力煤始终处于大周期的宽幅震荡状态。震荡特征总结为:偏多震荡周期较长,空间逐步收窄,下方支撑较强。

动力煤向何处去?
2018年以来,动力煤社会库存开始趋势上行,供过于求担忧加大。同时,由于市场主动补库存和铁路运力充裕,煤炭库存更为明显的向中下游环节累积。虽然其中存在隐性库存显性化的因素,明年上半年市场仍将存在明显的去库存压力。那么这样的压力来源何方呢?
煤和电的恩恩怨怨
煤价和电价的关系——2018动力煤价背后的推手
从2018年下半年开始,终端电厂在长协煤和进口煤的保驾护航下,不断推高自身库存,用高库存去博弈高煤价,高企的终端库存成为高悬在煤价上方的达摩克利斯之剑。伴随着需求的逐步走弱,高库存的利空作用终于在10月中旬发酵,动力煤价自此步入了漫长的下行周期。
从10月到12月,在经过了2个半月的下跌后,高库存的压制何时能得以缓解成为动力煤价止跌企稳的关键因素之一?
将2018年沿海6大电厂的补库周期进行了拆分,通过对比前几轮的库存周期来分析预测本轮煤价下行的终点。

年初到1月底,受我国极端天气的影响,用煤需求旺盛叠加运力掣肘,电厂被动去库,煤价推至年内第一高点(770元/吨);
2月初到3月底,开工偏晚,年后需求回落,煤价回落,电厂被动补库;
3月底初到4月中,在下跌行情中后段,市场悲观预期加剧,电厂则开始主动去库(此时煤价619元/吨),煤价继续回落,并第一次触底(569元/吨);
4月中到6月中,开工释放需求,进口煤政策收紧,叠加天气带动的日耗超预期,电厂去库进程被动延续,煤价触底回升,并被推至年内第二高点(708元/吨);
6月中到8月初,旺季日耗不及预期,需求同比回落,电厂被动补库,库存在7月中旬突破1540万吨的阀值后,电厂补库节奏放缓,而市场此时情绪崩塌,煤价加速下跌,煤价第二次触底(597元/吨);
8月初到10月中,电厂缓步主动补库,叠加坑口民用煤、水泥厂用煤需求加持,煤价震荡上行,并受进口煤消息刺激,被推至年内第三高点(673元/吨);
10月中到12月初,高库存弱需求的利空开始发酵,煤价步入下行通道,此时电厂库存达1588万吨,电厂被动补库至12月初的1800万吨;
12月初至今,旺季需求疲弱,电厂主动去库,煤价加速下跌,最低577元/吨。
从2018年终端电厂的库存周期和煤价的相关性角度,可以发现:电厂被动去库和主动补库的行为都是推涨煤价的主要动力,但在被动去库的周期内,煤价上涨的速度更快,主动补库对煤价的推动作用更为平缓(对比2018年煤价3次阶段性触顶)。
电厂主动去库和被动补库的行为是煤价下行通道打开的信号,2018年3次煤价阶段性触底前电厂的库存高点分别为1474万吨(3月底)、1543万吨(7月中)、1820万吨(12月初),而3次触底的低点分别为569元/吨(4月中)、597元/吨(8月初)和目前的577元/吨(12月底),在主动去库和被动补库的周期内煤价分别下跌了50元/吨(3月底-4月中)、83元/吨(7月中-8月初)、55元/吨(12月初至今)相比而言,本次去库的高点更高,去库时间更长。
煤炭一涨价,电企就“吃药”,原因何在?
纵观整个市场,同为周期行业,煤炭在上游,电力在下游,每次只要煤炭一涨价,电力企业就“深受其苦”,利润空间不断压缩,甚至陷入亏损的泥潭。
煤炭价格的上涨,直接反应在煤炭行业的毛利率水平的上涨,对下游行业影响比较大,其中对火电行业的冲击最为直接。

【图】煤—电行业毛利率变动
(来源:Choice 注,发电行业当季毛利率数据来自火力发电上市公司毛利率的算术平均值)
2008-2015年,煤炭行业毛利率见顶后就一路下滑,到2015年见底,在15%左右;2016年供给侧改革的推进,煤炭行业毛利率快速反弹,目前处于历史高位,达到30%左右;
与煤炭行业毛利率走势呈现负相关性的火电行业,受益于煤炭价格的单边下行,火电行业的毛利率水平从2011年到2015年呈现快速上升态势,一度接近35%的历史最高水平;从2016年开始火电行业毛利率水平快速回落,目前处于历史低位。
2018年:趋势还在继续
据报道,今年电煤价格全程高于国家发改委规定的绿色区间,当下供暖季局部地区出现供应吃紧的态势。而受累于此,火电行业亏损面接近一半,预计全年累计亏损数百亿。
作为煤炭市场风向标,环渤海动力煤价格指数今年来高位波动运行。11月28日最新一期报收于571元/吨,环比上涨1元/吨。

中国电力企业联合会发布的《2018年前三季度全国电力供需形势分析预测报告》(下称《报告》)显示,根据中国沿海电煤采购价格指数,反映电煤采购综合成本的CECI5500大卡综合价前三季度波动区间为571-635元/吨,各期价格都超过了《关于平抑煤炭市场价格异常波动的备忘录》中规定的绿色区间上限。
事实上,从去年起我国煤电企业亏损情况已经颇为严重,国家发展改革委不断对建设风险进行提示。根据中电联统计,2017 年五大发电集团到场标煤单价比上年上涨34%。测算出2017 年全国煤电行业因电煤价格上涨致使电煤采购成本比上年提高2000 亿元左右。受此影响,2017年全国规模以上火电企业仅实现利润207亿元,比上年同期下降83.3%;受此影响,发电企业利润同比下降32.4%,重点发电企业煤电板块已出现全面亏损。

火电企业近半亏损 累计超百亿
近两年煤炭供应偏紧,导致煤价一路上涨,尽管长协煤的价格明显低于市场价,对市场稳定起了很大作用,但也在不断攀升。例如,上都电厂长协煤价格约为140元/吨,电厂生产成本不断增加,利润空间正在被压缩,不少电厂都处于亏损状态。据初步测算,前三季度全国发电行业因电煤价格上涨导致电煤采购成本同比提高近400亿元。叠加电价调整滞后、利息压力加大、产能利用率低等原因,1—8月,火电行业资产利润率仅为1.1%,全国火电亏损面为47.3%。
中国(海南)改革发展研究院课题组调研的山西省火电企业中,有83%亏损。此前有媒体报道,四川火电处于全行业亏损的状态,至少一半电厂的负债率达到100%,其中部分企业超过150%,安全、环保改造等日常运维的资金缺口巨大。
2016年下半年至今,我国电煤供应形势从宽松转为偏紧,部分地区煤价大幅度上涨,导致煤电企业经营形势严峻。中电联常务副理事长杨昆表示,煤电企业的可持续发展,正面临巨大挑战。
菜贵伤民。上一轮煤价上涨周期出现在2008—2011年,期间五大发电集团火电板块连亏四年,累计亏损额高达921亿元。据了解,煤价高位游走两年半来,煤电行业当前亏损面已接近一半,其中,五大发电集团2017年火电板块已经亏损132亿元,预计2018年全年火电板块亏损额将在140亿元左右,亏损面将超过50%。
年关将至,电企却频频“哭穷”,连央企也难以独善其身。寒冬之下,电企还能过得好这个年么?这还要从电厂的成本讲起。
发电成本的秘密:一度电要多少钱才不会亏本?
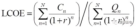
常用的度电成本计算公式如公式1:

其中,Cn:第n的成本支出;
Qn:第n年的发电量;
N:机组运行年限。
公式表达的含义是,在发电厂经营期内发生的全部成本与全部发电量的比值。
但公式1未考虑资金的时间价值,若考虑资金的时间价值,度电成本计算公式可以表示为公式2:

其中,r:内部收益率(定为8%),或称折现率。
公式2中,成本和发电量都通过折现率进行折现。
考虑资金的时间价值计算得出的度电成本更具参考意义。从公式可以看出,不同年度的成本和发电量的折现系数不同,因此需要计算不同年度发电厂的成本和发电量。
首先,考虑电厂的技术参数。
1)技术参数
机组容量是火电厂最重要的技术参数,直接影响电厂的投资成本、煤耗率、年发电量、占地面积等参数。
计算度电成本过程中涉及到的技术参数如下表所示:

项目总投资包括建筑工程费、设备购置费、安装工程费、其他费用、建设期利息、脱硫脱硝系统费。
项目总投资=装机容量×(单位造价+脱硫装置单位造价+脱硝装置单位造价)
预期年发电量=装机容量×预期年利用小时数
其次,考虑发电厂的成本参数。
2)成本参数
成本支出=生产成本+税金及附加
生产成本=固定成本+变动成本=(折旧费+摊销费+保险费+大修费+工资及福利费+土地使用费+财务费用)+(燃料成本+水费+脱硫脱硝费+材料费和其他)
税金及附加主要包括增值税、城市维护建设税、教育附加费。

根据参数值算出发电厂每年的成本支出和发电量,带入公式进行计算,就可以得出度电成本。
下表是根据30万千瓦机组的单位造价、2017年3月份各省电煤价格等数据,计算得出利用小时为4500小时、煤耗率为310和300两种情况下的30万千瓦机组的度电成本。值得注意的是,实际成本受到的影响因素很多,绝大部分为可变成本,因此该数据仅供参考。
将计算得出的度电成本与标杆电价进行比较,比较结果如下表所示:




注:表中红色单元格表示度电成本低于标杆电价。
成本算出来了,那么企业的电价是多少呢?我国现在的电价体系大致为:销售电价=上网电价+输配电电价+其他。为了更好地了解电价体系,今天我再来为大家简单介绍一下有关电价的一些知识。

上网电价
上网电价,是指电网购买发电企业的电力和电量,在发电企业接入主网架那一点的计量价格。简而言之,就是发电厂卖给电网公司的电力价格。
目前,我国还处于电力体制改革的过渡期。根据相关国家规定,上网电价主要实行两部制电价。简单来说,两部制电价包括基本电价与电度电价。基本电价又叫容量电价,电度电价又叫电量电价。
其中,容量电价由政府制定,电量电价由市场竞争形成。容量电价主要是保证设备折旧等“固定成本”的回收;电量电价主要是电厂发电所需煤等“变量成本”的回收和所需要赚取的“利润”。容量电价保证成本回收,不亏本。电量电价保证利润。
标杆电价
标杆电价,是为推进电价市场化改革,国家在经营期电价的基础上,对新建发电项目实行按区域或省平均成本统一定价的电价政策。
标杆电价,可以事先向社会公布。2004年,我国首次公布了各地的燃煤机组发电统一的上网电价水平,并在以后年度根据发电企业燃煤成本的变化进行了适当调整。
“上网电价”与“标杆电价”的关系
在我国电力工业发展初期,不同发电厂的上网电价是不一样的,是政府与电网公司根据发电厂建设及发电成本确定的。随着电力体制改革的进行,为了公平竞价上网,各地方都设立了统一的上网电价,称“标杆电价”。但是,根据国家节能环保等政策,对不同发电企业地方政府会给一定的补贴。
因此,在目前的电力改革背景下,“上网电价”就是“标杆电价”,只不过二者出现的时期不同,使用“标杆电价”,代表意义更加深入,即蕴含着“现在的上网电价是基本统一”的深意。
传统的上网电价
上网电价的形成方法主要有个别成本订价法、标准成本订价法和竞争形成法三种。
个别成本订价法:其本质是“成本加”模式,即在核定每个电厂成本、费用、税金的基础上,加上一定的回报制定电价。较长时期以来,我国一直采用这种方法制定上网电价。
标准成本定价法:将电力生产企业按一定方法划分成若干类型,参照各类型的平均成本,制定各类标准成本,并以此为基础,确定各类电力生产企业的上网电价。
竞争形成法:又称市场定价法,是指买卖双方在市场上通过公平交易形成价格。
目前火电和风电的标杆电价制定方法为基于标准成本定价方法,将发电企业按一定标准划分成若干类型,参照各类型的平均成本或边际成本,制定各类标准成本,并以此为基础确定各类电力生产企业的上网电价。单位投资、变动成本和发电利用小时数是电价制定的关键参数。
常规中小型水电也采用标杆定价方法,大水电采用成本加成电价(成本+利润+税金)。
发展及现状篇
简单来讲,我国上网电价主要经历了从传统上网电价到标杆电价的成功转变过程。
根据国家电价改革方案的总体要求,为推进按社会平均成本定价,给投资者明确的价格信号,直到2004年,国家才出台了标杆电价政策。新建发电项目根据区域社会平均成本确定一个上网电价,并向社会公布,同一区域内同质同价。
2004年之前的发电厂仍存在一厂一价的情况。2014到2017年之间,我国各省的煤电标杆电价的对比情况主要如下图所示。


归结起来,就是:电力是特殊商品,价格是受到国家高度管控的,电力企业不可能随心所欲涨价,对比之下,煤炭的价格已经完全市场化了,可以自由波动。那么煤炭的定价机制又是怎样的呢?
煤炭价格:市场为主,调控为辅
煤炭价格以市场化定价为主,主要由煤炭供需决定。煤炭长期供给取决于煤炭产能,但短期实际产量受超产、非法生产、不合规生产、政策性限产等影响较大,或大幅度偏离核准产能,同时进口政策的变化对煤炭供给产生一定影响。煤炭需求与宏观经济增速相关性较大,短期内存在季节性波动。
煤炭作为基础性能源,其需求与宏观经济密切相关,2006~2012年宏观经济快速增长,带动煤炭需求攀升,而新建产能释放存在一定的滞后,因此拉动煤炭价格不断上升。长期供给主要由产能决定,2006年开始伴随着大规模的煤矿投资,产能规模(包括在建)迅速上升,在3~5年的建设周期后,新建产能逐步投产,供给上升。2013年及以后,需求增速下滑,而供给却达到历史高值且仍不断释放,供需格局发生逆转,煤炭价格下行。
2016年初,伴随着部分亏损产能的自发退出、政策性的去产能、行政性的减量化生产以及对超产和安全生产的持续检查,供给显著减少,供需格局再一次变化,煤炭供不应求,煤价再度回升,直至今日依旧处于上升区间。
煤炭的价格虽然主要由市场决定,但作为我国最重要的基础性能源,事关国计民生,因此同样受政策调控影响很大,主要集中在供给端,目前政策对供给的调控手段包括产能退出、控制新增产能、减量化生产等,具体政策如表1所示;此外,在价格过高时期,发改委通过直接约谈大型煤炭企业以控制煤价。

说了这么多,概括起来就是,煤炭价格主要由市场决定,但下游的电力企业定价却是受到高度管控的,不能随意调整价格,因此每当煤炭价格高企时,电企“吃药”便不足为奇了。
电煤真是一对冤家么?
如同上文所言,煤炭市场定价,电力企业却没有自主定价权,同时还承担着保证电力供应的任务,一旦遇到煤价暴涨,便只能自家吃进,进而便出现了大规模的亏损,几十亿乃至上百亿那是家常便饭。
不过老古话“手心手背都是肉”,同样都是大型企业,总是让上游的煤炭“吃肉”,而不理会下游电企的困境显然是不可能长久的。为了熨平煤价波动所带来的风险,电力企业可谓各显神通。下面我们就来盘点一下,电力企业的“扭亏”之道。
长协价——以神华煤炭为例
大宗原料物资价格波动频繁,为减少价格波动带来的影响,上下游往往通过长协合同确定采购量、长协价或长协价的制定机制,此类产品如铁矿石、煤炭、天然气等,通过长协合同制定的长协价或一段时间内保持不变,或在某一固定价格的基础上根据现货价格的变化再做出相应调整,以上定价方式都将影响市场平均交易价格。
2016年之前,由于缺乏科学的长协定价机制,煤炭长协价格未实际严格执行。2016年1~11月,随着煤价重回上升通道,开始重拾长协价与现货价双轨制,但长协价仍无明确定价机制,以煤电双方协商为主。
国内煤电企业签订长协合同的做法最早追溯到1993年。1993~2012年间,国家为确保电价稳定,设定了国有大型电厂的电煤价格,并制定价格双轨制,即在价格调控下分为重点电煤合同价格和市场煤价格。在煤炭供应紧张、电价机制不完善的格局下,重点电煤价格低于市场煤200元/吨左右,极大地保护了发电企业利益。但煤炭企业不情愿履行重点合约,在煤炭供应紧张时,重点电煤合同兑现率往往较低。
2012年起,随着国内经济走向疲弱,国内煤价大幅下滑,市场煤价格跌至与重点电煤价格相近的水平,成为煤价改革、取消重点电煤的好时机。2012年,发改委发布《关于深化电煤市场化改革的指导意见》,决定自2013年起,取消重点合同,取消电煤价格双轨制;煤炭企业和电力企业自主衔接签订合同,自主协商确定价格,鼓励双方签订中长期合同。2013~2015年间,煤炭价格处于下行通道中,长协合同无法执行年初价格,年内神华集团甚至一个月调整几次。因此,2016年之前,由于缺乏科学的长协定价机制,煤炭长协价格并未实际严格执行。
2016年以来,随着供给侧改革的进行,煤价重回上升通道,煤炭企业处于优势地位,而电厂受成本端煤价上涨影响,亏损范围逐步扩大。2016年1~7月,神华集团参考环渤海动力煤价格指数,以月度定价的方式确定每月基准价;2016年8~11月,神华集团开始重拾长协价和现货价的价格双轨制,但长协价仍无明确定价机制,以煤电双方协商为主。
2016年12月起,长协价有了较明确的制定机制,且履约率较高。大型煤炭企业将长协价分为年度长协价和月度长协价,其中年度长协价每月变化,即在535元/吨基准价的基础上根据上月的煤炭价格指数进行调整,而月度长协价直接在现货价基础上下调一定幅度,下调幅度随行情变化,多为10~20元/吨
2016年12月起,按照发改委的规定,以535元/吨为基准价,煤电企业按照定价机制沟通协商确定每月的长协价。从神华集团、中煤集团等中央企业长协价执行情况来看,长协价分为年度长协价和月度长协价,具体来看:
1、年度长协价:每月变化,即在535元/吨基准价的基础上根据上个月的煤炭价格指数进行调整,具体公式为:年度长协价格=535*50%+上个月月底的煤炭价格指数*50%。其中上个月的煤炭价格指数,多为两个价格指数的平均值,但各家煤炭企业选取的参照指数略有不同,如神华选取的为环渤海动力煤价格指数和CCTD秦皇岛煤炭价格,而潞安集团采用环渤海动力煤指数和太原煤炭交易中心指数,陕煤化集团采用环渤海动力煤指数和陕西煤炭价格指数。
2、月度长协价:直接在现货价基础上下调一定幅度,具体下调幅度随行情变化,多为10~20元/吨;在供给严重不足时,甚至与现货价相同(此时长协优势在于至少能保证一定的煤炭供给)。
根据汾渭能源统计,目前煤电交易中,年度长协约占35%的份额,月度长协约占40%的份额,现货约占25%的份额。2017年以来,年度长协价(选取环渤海价格指数和CCTD价格指数为参照指数)、月度长协价、现货价(以秦皇岛港山西产5500大卡动力末煤平仓价为例)以及两大价格指数的走势如下图:

本次政策层面极大推进长协合同的签订并统一长协价的制定规则,主要为抑制煤炭价格的过快上涨,减轻下游电力行业的成本控制压力(以及促进市场供需平衡和行业健康协调发展)。2017年以来,发改委对煤炭企业履约率提出严格的要求,目前国内煤炭企业对长协合同的整体履约情况较好,基本达到发改委要求的长协合同量季度履约率在80%以上,半年度履约率在90%以上。
从实际效果来看,长协价对稳定现货价格(指长协合同以外的销量的价格)作用有限,现货价格的高低仍主要取决于供需及其他市场化因素;但长协价对抑制市场平均煤价的上涨起到一定的作用,煤炭采购量中长协合同占比较高的电厂也将从中受益。在市场价格严重偏离政策意图时,发改委可以通过行政手段控制月度长协价,那么市场上将有约75%(年度长协+月度长协)的煤炭交易受到价格管制,对于短期内市场平均煤价的上涨起到一定平抑作用。
煤与电的联姻——电厂自营煤炭
煤炭是上游行业,电力为紧密的下游行业,我国约45%的煤炭用于发电。煤炭是决定燃煤发电成本的关键因素,一般占50%~70%。长期以来,煤电双方博弈一直没有停止过,市场主动权在轮回中转换,每次煤电矛盾都需要政府协调解决。
在煤炭价格持续上涨阶段,国家实施“煤电联动”政策,减轻电力企业的发电成本压力;而煤炭价格持续下滑时,地方政府或电力企业实施“煤电互保”政策,减轻煤炭企业的经营压力。煤电联营可使煤矿和电厂成为利益共同体,可以有效化解煤电矛盾。
正因为煤电之间的天然关系,也由于煤价不断攀升与“计划电”电价的管控,促使电力企业积极开发煤炭业务。2004年开始,电力企业在国家政策鼓励下纷纷开始经营煤炭行业。以五大发电企业为主的电力企业积极收购现有煤矿和开发新煤矿,煤炭开发与生产得到快速发展,煤炭年总产量从2009年的1.3亿吨提高到2014年的2.7亿吨。
2012年以来,五大电力企业的煤炭板块开始由盈利转为亏损。为了减少亏损,五大电力企业积极对煤炭板块进行“瘦身”,加快退出条件差、效益差的煤矿;同时加快推进煤电一体化,发挥煤电联营优势。煤炭企业为了用售电利润弥补售煤亏损,继续推进煤电联营,但是由于煤电也已开始出现过剩苗头,煤炭企业因资金问题无力大规模发展煤电联营,煤电联营进入平稳发展阶段。
到了2 018年9月,国家发展改革委、国家能源局下发《关于深入推进煤电联营促进产业升级的补充通知》,促进煤电联营落地。其中明确,鼓励发展多种形式的煤电联营,同等条件下优先支持煤炭和发电企业相互持股比例超过30%的项目。优先释放煤电联营企业的优质产能。
目前,我国煤电联营主要有6种模式,分别为煤电一体化运行模式、煤炭企业办电厂模式、电力企业办煤矿模式、煤炭企业参股电厂模式、电力企业参股煤矿模式和煤炭电力企业互相参股模式。
毋庸置疑,煤电联营可以降低煤炭企业和电力企业各自的风险,实现两者之间的互保。对于电力企业来说,可以更好地抵抗市场风险,获得比较稳定的煤炭供应;而对于煤炭企业来说,此举同样可以获得可靠的煤炭销路。
尴尬的煤电联营
但是在执行过程中,煤电联动却存在联动不及时和联动幅度不到位等问题,在煤价高企时电力企业时时陷入亏损困境。资料显示,2008-2011年,彼时的五大发电集团火电业务分别实现利润总额-400亿元、-63亿元、-137亿元、-312亿元,直到2012年煤炭价格下行,其火电业务才开始实现盈利。
2004年的煤电联动政策中,煤价涨幅的70%由电价来补偿,其余30%由发电企业通过降低成本来承担的规定也引起较大的争议,有分析认为这对电力企业降低成本、提高效率要求过高。在上述2012年底下发的《意见》中,对此做出了调整,当电煤价格波动幅度超过5%时,以年度为周期,相应调整上网电价,同时将电力企业消纳煤价波动的比例由30%调整为10%。
但是出于经济及社会影响的考量,煤电联动机制一直无法真正落实。2007年底,在谈及煤电价格联动话题时,国家发展和改革委员会价格司司长曹长庆曾指出:“电价的调整既要考虑煤炭成本上升的影响,也要考虑电力企业消化煤炭涨价的能力,还要考虑电力企业的发展等因素。另外,我们还要考虑整个工业企业的承受能力,居民家庭的承受能力,对价格总水平的影响等。”
煤电套保
动力煤套期保值简单地说就是,现货市场上买进或卖出一定数量动力煤的同时,在期货市场上卖出或买进数量相等、方向相反的动力煤期货合约,以一个市场的盈利弥补另一个市场的亏损,达到规避价格波动的目的。
近两年来,随着供给侧结构性改革深入推进,煤电企业在积极配合去产能政策的同时,也在努力调整思路,主动进行创新,不断打造自身的核心竞争力。在经营思路创新上,金融衍生品工具为煤电行业的发展带来了积极的变化。
华东某大型电厂期货部门负责人谈及近几年在期货市场上套保的经验时说:“大型电厂参与期货套保具备体量大、接货能力强和资金充裕的优势。如果将套保作为一种电厂的采购渠道,那么就是帮助企业完成发电利润目标的一种安全保障。这项工作的关键是企业领导对套保的认可与支持,需要在期现一盘棋的角度下考虑。”
据悉,该企业每年将电煤采购总量的20%设为上限,开展套保。当期货多单赚钱时,说明煤价在上涨,意味着现货面临更多的亏损,不值得庆祝;当期货多单亏钱时,说明煤价在下跌,意味着现货采购成本下降,有更多的盈利,反倒值得高兴。带着这种先进的理念和务实的套保态度,当期货价格低于购买目标线后,他们即在20%的总量控制下买入套保。华东另外一家电厂则在日常工作中将动力煤买入套保看作是库存管理的一部分,即通过线上(期货)和线下(现货)的结合,灵活运用这种类似云采购的方式进行库存的科学管理。
不过就套保而言,国内企业还处在初级阶段。相比之下,欧洲著名能源企业RWE的套保之道值得学习借鉴。
从财报看德国电力RWE如何玩转套期保值
德国莱茵集团(RWE)成立于1898年,拥有能源、采矿及原材料、石油化工、环境服务、机械、电信和土木工程7个分部。为德国最大的能源供应商和国际先进的基础设施服务商。莱茵集团的构想是追求多元化公用事业,提出了欧洲能源市场的全新服务概念。莱茵集团是德国四大电力公司之一,在全球范围内拥有2000万客户甚至更多,是德国同时经营煤炭与核能基础设施的公司之一。
首先来看一下下面这张信息量很大的图,涵盖了RWE所有的套保头寸甚至套保均价:

套保年限
RWE的煤炭和核电部门的套保头寸从2017年一直套到2020年。相比之下,国内最多只能套一年,而且黑色化工等还只能套159,而且除了主力合约,远月合约流动性也堪忧,如果量大远月还不是你想套就能套上)。
没错,老外就是今年到三年后的头寸都做套保,而且告诉你总共多少量要保,现在保了多少比例了(2017,2018和2019年都保值了超过90%的计划,2020年超过70%)。但隔得近的年份多套些,隔得远的年份少套些,随着时间的推进,慢慢的移仓,慢慢的加大较远年份的套保比例直到完成总计划套保的比例,也起到了平滑套保成本的效果。
直接和间接套保
上图深蓝色的柱子代表直接套保,表示电力就用电力期货或掉期来保值;浅蓝色的柱子代表间接套保,表明电力可能用发电的原料-煤炭按照生产比例或热值守恒来套保。间接套保有一定的基差风险,所以比例较小,但有时候可能有流动性方面的考虑,间接套保效果更好。
价差套保(下半张图)
对于电厂来说就是原料端买入煤炭或者天然气的同时在成品端卖出电力,对应钢厂就是买矿石焦炭卖出钢材。但国内就要一条腿一条腿自己凑。
由此可见,在玩转套保的道路上,国内的电企和国际先进水平相比,还有着相当大的差距,远非一日之功。
博弈终非长远,双赢才是追求
煤电博弈不应是你赢我输的零和博弈,“双赢”才是最佳选择。而从目前来看,矛盾的主要方面还在发电企业这一头——市场煤,计划电的结构性矛盾并未根本改变。
为了达到这种双赢,近年来,在电价改革方面的政策可谓不遗余力。近三年来,输配电价改革的顶层设计涵盖了跨省跨区专项工程、区域电网、省级电网、地方电网和增量配电网等输配电各个环节、全部领域,初步建立了电网企业激励约束机制。
但相比而言,发电企业的市场意识还有待提高、改革意识更要加强。唯有通过电力改革的方式,顺势而为,提高自己的竞争力和盈利能力,才能求生存谋发展。否则优胜劣汰,大浪淘沙,撑不住的电企就得出局。
总而言之,电价市场化是大势所趋。但是,在当前市场不够成熟、规则尚不健全、电力交易市场还未建立的情况下,放开上网电价可能导致价格非正常波动,影响电力系统安全运行,不利于经济社会发展。
因此,应该结合当前实际情况,通过分步骤、分阶段、按次序,采取两部制、市场电价试点和建立完全交易市场等途径,逐步增加电力用户和发电企业的选择权,一步步提高电力市场化程度,最终使电力企业不再因煤炭价格的大幅波动而陷入困境。


评论