作者:老喻
地球上最聪明的亿万富翁
“地球上最聪明的亿万富翁。”詹姆斯·西蒙斯被《金融时报》如此评价。
2010年在麻省理工学院的演讲《数学,常识和运气》里,回忆自己14岁时的打工经历:
“因为干得不够好,他被降职去拖地板。他很喜欢这个工作,因为简单,不需动脑,可以走动并且思考。‘走动,思考,而且他们还付我钱。’离开时,老板问这个不够灵光的男孩将来有什么打算,他说,我想来 MIT学数学。”
从麻省理工毕业后的西蒙斯,23岁获得加州大学伯克利分校数学博士学位,一年后出任哈佛大学数学系讲师。

1968年,西蒙斯前往纽约州立石溪大学出任数学系主任,年仅30岁。
西蒙斯在石溪大学做了8年的纯数学研究,其间与华裔知名数学家陈省身联合创立了对数学和物理学影响深远的Chern-Simons理论。
1976年,西蒙斯摘得数学界的皇冠——全美维布伦(Veblen)奖。
1977年,西蒙斯创立了自己的私人投资基金。
从1989年起,文艺复兴科技公司的大奖章基金的年回报率平均高达35%,大奖章基金被誉为最成功的对冲基金。
他被称为量化交易之父。
心灵捕手和数学天才
另一位著名的MIT拖地板工,是《心灵捕手》里的马特·达蒙。
“麻省理工学院的数学教授在公布栏写下一道他觉得十分困难的题目,希望他那些杰出的学生能解开答案,却无人能解。结果一个年轻的清洁工在下课打扫时,发现了这道数学题,并轻易的解出。教授得知有人解开他的问题之后,又下了另一道更难的题目,要找出这个数学天才。”
这部著名的电影,故事由马特·达蒙联合本·阿弗莱克创作,并获得了奥斯卡最佳编剧奖。
据说本·阿弗莱克和马特·达蒙是用掷骰子来决定由谁担任此部电影男主角。
曾就读哈佛大学的马特·达蒙,原本想把主角塑造成物理学天才。他和当时的哈佛大学教授兼诺贝尔物理学奖得主Sheldon L. Glashow讨论了该想法。
Glashow告诉达蒙他的假设并不成立,而且建议他把主角改写成一个数学天才。他还介绍了在麻省理工担任数学教授的姐夫/妹夫DanielKleitman给达蒙认识,为电影提供意见。
但是,在现实中,数学天才不是马特·达蒙,而是他的好基友本·阿弗莱克。
花瓶、导演、扑克冠军
男人总希望自己帅一点儿,阿弗莱克则是一个被“太帅”困扰的男花瓶。就像在《心灵捕手》里扮演的那个没脑子的兄弟。
即使他联合创作了《心灵捕手》的剧本,即使后来他导演了《城中大盗》,才华也没被承认。
熬到2013年,他凭《逃离德黑兰》获得第70届金球奖最佳导演奖及最佳剧情片奖,以及第85届奥斯卡金像奖最佳影片、最佳改编剧本和最佳剪辑三座奖。2014年,阿弗莱克出演的《消失的爱人》赢得了高评。
阿弗莱克比他看起来要聪明得多。他赢得过2004年加利福尼亚州的扑克冠军赛,获得了35万6400美元的奖金和一等奖奖杯,并取得2004年世界扑克巡回赛最终赛的资格。
2014年,阿弗莱克被拉斯维加斯的坚石酒店禁止玩二十一点,因为身为常胜军的他被怀疑有使用“密技”。
四骑士,用数学破解赌博
二十一点(英文:Blackjack),是使用扑克牌玩的赌博游戏。亦是赌埸中庄家优势在概率中最低的一种赌博游戏。
1956年以前,21点的基本策略都是推测及经验猜的。
直至“四骑士”出现。四人都服役于美国陆军,有哥伦比亚大学数学硕士学历。在军营玩21点时,罗杰.鲍德温想:应该有机会经过数学分析的最佳策略对应到该规则。
他用手算出几条规则,马上意识到21点策略分析是一个很大的题目。他找了威柏肯提,申请使用军用计算器的权限。
四骑士们花了一年半的空余时间,设计出了玩21点的最佳策略出来。没有电脑,只有惊人的脑袋,和计算器。
1956年9月,他们出版了11页的论文《21点最佳策略》。发表于美国统计协会的期刊上,这是史上第一个使用精确的数学计算检验过的21点策略。
然而,四骑士的研究成果,并在并未引起社会关注。
直到几年后,另外一个天才的出现。
爱德华·索普,量化交易之父
1955年春,索普是加州大学洛杉矶分校的一名二年级物理学研究生。他在思考能否捣鼓出一个持续赢得轮盘赌的数学系统。
轮盘赌看似随机,索普则试图用数学来描述背后的系统机制。后来他将同样的想法应用到证券市场,最终发展成量化投资的核心理论。
1958年,索普取得数学博士学位。
1959年至1961年间,索普于麻省理工学院担任摩尔讲座教授。
基于用数学战胜赌场的冲动,他也研究二十一点。
索普应用大数定律:随机事件的样本越多,结果的确定性就越高,就好像掷硬币,你掷10次,正反面比率可能出现任何结果,随着实验的次数越来越多,正反面的比例会更加接近于1:1。对于某一手21点,索普并不知道胜算多少,但是只要玩得局数足够,只要他遵循自己的算牌规则,就一定能获胜。通过大数法则,不断实验,得到最终结果,总结经验,这事就爱德华索普的必杀技。
1958年,看到四骑士的《21点最佳策略》后,他找鲍德温索要数据,用数学和概率论的方法,借助于计算机,优化了方案,想发表在《美国科学院院报》。但该杂志只接受院士的文章。
这难不倒索普。他从小就是一个顽皮的天才少年,热衷于恶作剧、搞破坏,以及做各种实验。他决定找这个星球上最聪明、也是最古怪的人帮忙。
香农,IT理论奠基人
只消做其中的一件事情,就可以成为本星球最聪明的人,但香农做了两件。
20世纪最伟大的两个知识进步上都镌刻着香农的大名:
其一是二进制系统在电路中的应用,这也是计算机诞生的基础。香农的突破性进展是引入了一个双符号逻辑体系,所有的问题都通过操控两个数字来解决:0和1。在电路应用中,1表示开关闭合,0表示开关打开。一连串闭合和打开的开关,其实就是一连串1和0,就能代表几乎所有种类的信息。
其二是信息论。在这方面,香农解决了如何将信息编码,然后从A点传递到B点的问题。香农理论的关键之处,也是颇有争议的地方在于,他一开始就主张,尽管信息“总是带有某种意义(meaning)……但(这种)通信的语义外表和工程问题无关”。换句话说,信息作为一个技术问题,与它本身的意思及语境没有关系。相反,信息是纯粹统计性的,因而是可编码的。
这一观点与直觉正好相反。香农之前的科学家大多认为,意义,只有意义,才是通讯的基本元素,而香农完全颠覆了这一观点。
除了学术香农爱好杂耍、骑独轮脚踏车和下棋。他根据人工智能研究的先驱、数学家马文·闵斯基的想法,发明了一个“终极机器”:
这个盒子外表平淡无奇,只是在一侧有一个开关,弹一下开关,盒盖就会打开,一个机械手会伸出来;将开关复原,机械手就缩回盒子。
面对小怪人索普的来访,老怪人香农只给了几分钟,但迅速被吸引了。他愿意帮忙提交论文,只提了一点:
“哥们儿,你这论文题目《21点常胜策略》涉嫌赌博,不如改成《21点的有利策略》,免得老学究们卡你。”
两位怪才后来还一起钻研轮盘赌,甚至发明了第一个佩戴式计算机,悄悄带入赌场,用于提高轮盘赌的获胜几率。
有一个21点的关键问题一直困扰索普:
如果赌徒不想因赌资不足而出局,那么他应该怎样下注?
香农告诉索普,新泽西穆雷山贝尔实验室的物理研究员小约翰·凯利知道答案。
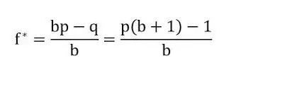
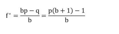
凯利公式,一个真实的财富公式
1956年,贝尔实验室的科学家凯利发表了一篇论文 "A NewInterpretation Of Information Rate",论文中包括了后来被广泛流传的“凯利公式”。这篇论文的本意是研究长途电话中的噪音问题。
在概率论中,凯利公式是一个用以使特定赌局中,拥有正期望值之重复行为长期增长率最大化的公式。简而言之,就是用以计算出每次游戏中应投注的资金比例。
除可将长期增长率最大化外,此方程式不允许在任何赌局中,有失去全部现有资金的可能,因此有不存在破产疑虑的优点。方程式假设货币与赌局可无穷分割,而只要资金足够多,在实际应用上不成问题。
公式的一般性陈述为:

其中:
f*为现有资金应进行下次投注的比例;b为投注可得的赔率(不含本金);
p为获胜率;q为落败率,即1 - p;
举例而言:
若一赌博有60%的获胜率(p = 0.6,q = 0.4),
而赌客在赢得赌局时,可获得一赔一的赔率(b = 1),
则:赌客应在每次机会中下注现有资金的20%(f* = 0.2),以最大化资金的长期增长率。
如果赔率没有优势,即 b =q / p,那么公式建议不下注。
如果赔率是负的,即b < q / p,公式的结果是负的,也就是暗示应该下注到另外一边。
索普利用凯利的系统对21点下注方案进行优化。即:胜算大时出重手,胜算小时就收手。
另一种下注方式“加倍下注策略”:下注10美元,输了。下注20美元获胜,若再输,下注40美元,赢了就一举回本。加倍下注,貌似迟早扭亏,实则有硬伤:赌徒可能被振出局。
凯利公式,则限制了赌徒每次下注的最高额度,精确地告诉人们如何根据自己的荷包加码和减注,以此来获取最佳结果。
用凯利的话说,这一规则描述了一个赌徒如何既“使自己的资金量呈指数增长”,同时又避免破产的诅咒。
据说,1968年巴菲特第一次见到了索普,就开始应用凯利公式去决定在每项投资中投入多少资金。
又据说,索普第一次见巴菲特,和他打了一夜桥牌,就预测他将来会成为世界首富。
芒格说:
“人类并没有被赋予随时随地感知一切、了解一切的天赋。但是人类如果努力去了解、去感知――通过筛选众多的机会――就一定能找到一个错位的赌注。而且,聪明的人会在世界提供给他这一机遇时下大赌注。当成功概率很高时他们下了大赌注,而其余的时间他们按兵不动,事情就是这么简单。”
神秘小组,盗火的年轻人
索普赢了。他横扫赌场,最终成为不受欢迎的赌客。
1979年1月,麻省理工学院开设了一门名为“如果你必须赌,怎么赌赢”的课程,供那些对“21点”有兴趣的学生切磋算牌技巧。参加该课程的学生大多是本科生,在数学方面拥有天赋。为期4周的课程完结之后,学生们奔赴赌城,结果铩羽而归。
聪明的年轻人们不甘心认输。1980年,一个以哈佛商学院MBA为领导、以麻省理工学院天才学生为主体的“21点”精英团队构建起来,再度“杀往”大西洋城。10周之后,他们的赌资翻了一倍。
以“21点小组”为原型的电影《决胜21点》,里面有句台词:“我们不是在赌博,我们是在计算”。
“量化”是MIT21点小组决胜的秘诀。某种意义上,索普的赢牌战术和量化投资是一致的:
Step1:深入分析市场,建立模型,进行有效的量化投资策略;
Step2:通过量化分析,判断市场走向,静等投资的最佳时机;
Step3:最佳时机来临后,迅速执行精准的交易策略。
21点小组成员高人辈出。魏因斯坦,33岁已是德意志银行美国信用交易总管。他是国际象棋“终身大师”,25岁便成为德意志银行的副总裁,两年后又被任命为董事总经理。
比起拉斯维加斯,华尔街才是真正的赌场。无论是贪婪,还是残酷,金融赌场都更胜一筹。
例如绿光资本的艾因霍恩,37岁已经声名显赫,回报率连年保持在20%以上。他同时也是扑克高手,曾位列2007年拉斯维加斯“世界扑克系列赛”第18名,斩获66万美元奖金。

战胜市场,一个科学的股票市场系统
索普将自己从21点中发现的秘密,推及至股票权证:对于股票下周是涨还是跌,索普并不确定,但他可以推算出股票涨跌2个、5个或者10个百分点的概率有多大。
索普把这一公式用到了权证上。股票的未来运动(宽客将这一变量称为波动性)是随机的,因而是可以量化的。如果权证在定价时高估或低估了可能的波动性,你就能从中获利。
索普和加州大学欧文分校的卡索夫教授,设计出第一个精确的量化投资策略:科学股票市场系统。
他们确信自己已开发出第一个从股票市场稳定盈利的纯量化方法,并于1967年合写了一本叫做《战胜市场:一个科学的股票市场系统》,该书是量化投资的开山之作。
1969年,索普遇到了杰伊·里根。里根毕业于达特茅斯学院,主修哲学,在一家经纪公司上班。他是索普的粉丝,两人成立了一家合伙公司,开始了套利之旅。
索普运作了两只对冲基金,“Princeton-NewportPartners”和“ RidgelinePartners”,运作了近30年,年平均收益19%-20%,无一年亏损。
量化交易之王,那个不会扫地的男孩
故事终于要来到高潮,让我们欢迎主角,量化投资之王:西蒙斯。
他就是本文最开始,那个扫不好地,但是痴心妄想考入麻省理工的男孩。
在摘取了数学领域的最高成就后,西蒙斯杀入了另外一个数字世界。
1978年,他成立了一家名为 Monemetrics的公司,起初走了些弯路,后来他把数学模型引入金融交易。
4年后,文艺复兴公司诞生。西蒙斯挖来最厉害的数学家和建模专家。员工有一半从事研究和编程,1/3拥有自然科学的博士学位。

以“算法交易”为核心,专注量化投资三十余载,其大奖章基金,成为有史以来最成功的对冲基金。
1988年-2015年,27年间平均年化回报率达到35%,较索罗斯等大佬同期的投资表现高出10个百分点,是标普500指数收益率的3倍以上;
在次贷危机最低谷的2008年,大奖章基金实现98.2%的收益,而同期标普500指数暴跌38.5%;
2001~2013年,大奖章基金的最差的年度收益是21%,这还是扣除5%的管理费和44%的业绩提成费后实现的,两项费用均高出同类基金的一倍以上。
由于高度保密,文艺复兴的的成功一直是个谜。


西蒙斯有哪些秘密武器?
理念上例如:西蒙斯更关注市场短期的无效性,用算法来捕捉稍纵即逝的价格偏离,当价格恢复正常时迅速结清头寸离场。就像壁虎,平时趴在墙上一动不动,一旦蚊子(机会)出现,迅速将其吃掉,然后重新回复平静。
技术上例如:2014年8月,文艺复兴科技公司向美国专利及商标局申请了一项利用高精度时钟同步执行交易指令的专利。
这项技术是 在各个交易所服务器中使用原子钟或GPS时钟实现纳秒 (十亿分之一秒) 内同步所有交易指令,消除下单延迟,从而使高频交易 (HFT) 无法捕捉因延迟产生的价差。
还有更多人们无法窥探的。
寻找阿尔法的数量金融大师们
一本讲述华尔街顶级数量金融大师的书《宽客》,这样写道:
这些人擅长的交易类别各不相同,但他们在某一点上是相同的:
对某种难以捕捉的玄妙之物孜孜以求,而这正是他们最为强大的地方。宽客们有时虔诚地将这一玄妙之物暗自称为“真谛”(Truth)。
真谛是关于市场如何运行的终极奥秘,唯有通过数学才能发现。宽客通过研究市场中的隐匿模式揭示真谛,从而打开有着亿万美元利润的宝藏之门。
宽客为这个飘忽不定的真谛创造了一个名字:阿尔法(alpha),听起来好像是巫师修炼的某种秘方。
阿尔法代表一种难以捉摸的技能,有些人生而拥有,从而能够连续击败市场。
与阿尔法相对的还有一个希腊字母——贝塔(beta),代表平淡无奇的市场回报,即便是脑子缺根筋的家伙也能轻松取得。
如何做到这一点呢?西蒙斯在演讲中总结道:
1、我经常做的就是尝试一些新的事情。
2、尽你所能和最优秀的人合作。
3、“被美丽指引”。建一家交易公司有什么美的一面呢?它美就美在做正确的事,找一群正确的人,用正确的方法把事情做正确。
4、不要放弃,至少尝试着不要放弃,有时花很长时间去做一件事是正确的。
5、最后,让我们期盼一点点好运。
最后,名校的未解之谜
在这场横跨60年的、波澜壮阔的数字与金钱史诗中,一个个出场的传奇牛人,除了追求真谛,追寻阿尔法,他们还有什么共同之处呢?
他们几乎都是顶级名校毕业的。
这个结论显得无聊、不讨好,然而,事实如此。
四骑士:哥伦比亚大学数学硕士;
索普:加州大学洛杉矶分校数学博士;
香农:密歇根大学学士,麻省理工学院博士;
凯利:德克萨斯州大学奥斯汀分校物理博士;
里根:达特茅斯学院哲学系;
巴菲特:哥伦比亚商学院经济学硕士;
芒格:哈佛大学法学院;
艾因霍恩:康奈尔大学;
西蒙斯:麻省理工学院,加州大学伯克利博士。
连打酱油的马特·达蒙,也是从哈佛辍学的。
直至40岁之前,我一直都是个反传统教育体制的自由主义者,并且身体力行,从小以不好好学习为荣。
两个孩子在加拿大读书,太太为孩子申请私校,我也被批评为不积极主动,有拖后腿嫌疑。
2009年,在沃顿商学院的课堂上,我突然有种感觉:其实这里也不赖啊。
孩子们后来分别考入温哥华排第一的私校,我放烟雾弹地自谦:我什么都没干啊,除了贡献点儿基因。我看着他们的新校园,心里想:其实这里也不赖啊。
高中毕业25周年,八十多岁的老班主任仍能一眼认出来,开口第一句:你当年稍微抓一下也是清X北X啊。
如同麻省理工的那堂课《如果你必须赌,怎么赌赢?》,人生漫漫,变量颇多。能否考入名校,未必是关键。但也许,算是极为重要的一手好牌。
如果能,其实也许不赖啊。
假如年少时候的我是为了好玩儿不认真学习,那么,假如考入一间名校,会否能遇到更多有趣人,发生更多有趣事呢?
《黑天鹅》作者塔勒布,为索普回忆录所做的序里写道:
“......索普......按照一套套方法探寻生命的意义,知识的深度,金融资产标的,当然也包括生活的乐趣。“
来源:孤独大脑



评论