01
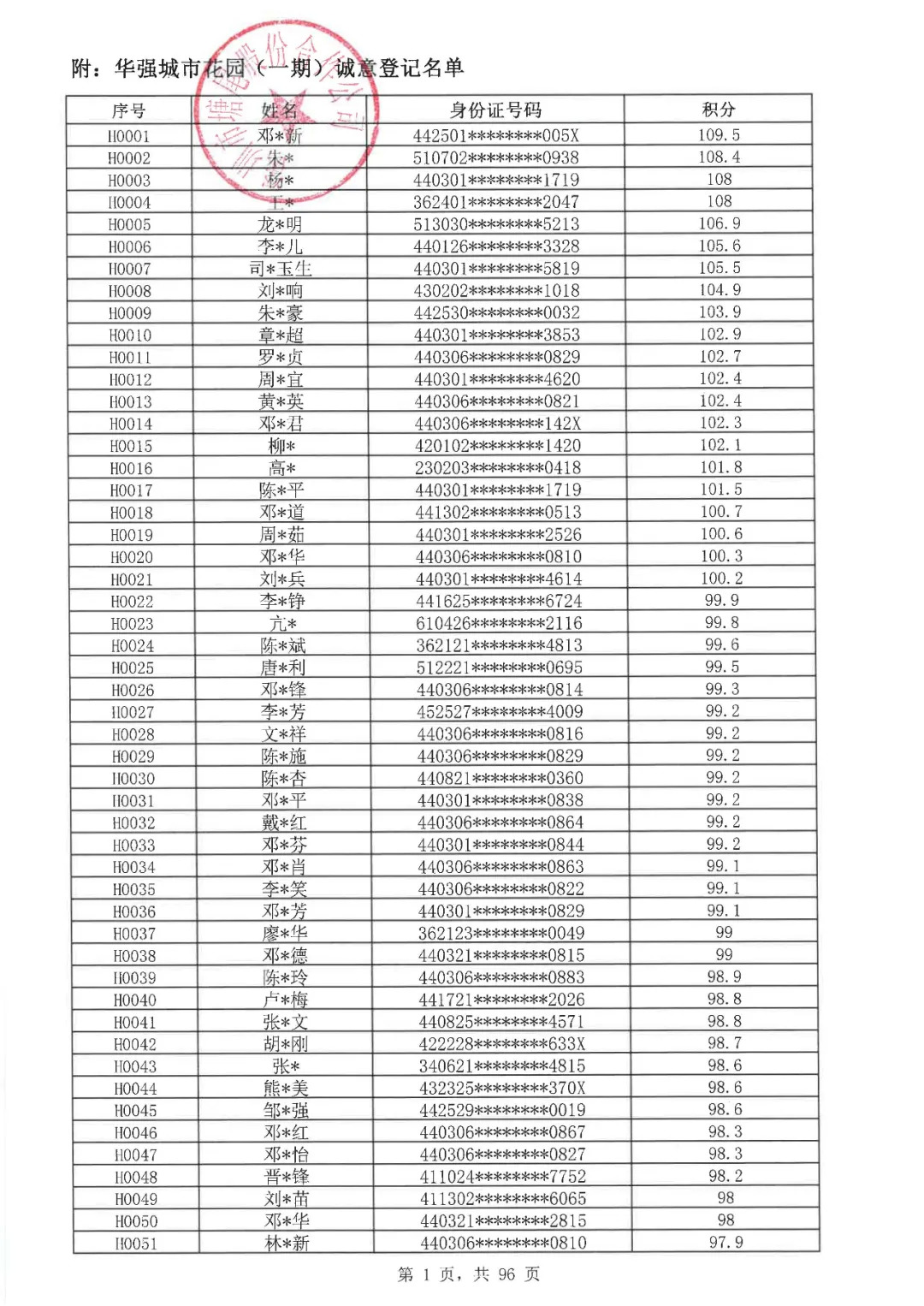
最低62.4分,5178人入围!华强城公布登记名单
8月13日,华强城城市花园公示诚意登记名单。
经过资料审核积分62.4分及以上的客户共5560位,此5560位客户于8月11日9∶00—18∶00进行资金冻结,最终成功冻结的客户为5178位。
诚意登记号不足5560不接受递补,资料审核不通过、逾期或保证金金额不足等情况均视为诚意登记失败,华强城城市花园将不予发放诚意登记号。

华强城本期新品户型,含10种户型、6个面积段,包括:72平方米两房两厅一卫、89平方米三房两厅两卫(4种户型)、110平方米三房两厅两卫、130平方米四房两厅两卫、125平方米四房两厅两卫。(下附户型图)





华强城位于宝安凤塘大道与宝安大道交汇处西南,毗邻深圳地铁11号线塘尾站B出口,整个项目建面约80万平方米,分三期开发,是集大规模商业、住宅、街区、国际公寓、商务写字楼于一体的城市综合体。
该项目至今已开盘2次,次次劲销。
2018年11月,华强城首开,在深圳“731新政”出台没多久,楼市尚属冷静观望的时期,当日卖掉1033套房,去化率90%,单价约4.2-5.1万元/平方米。
2019年5月31日,华强城3期开盘,464套住宅,3小时几近售罄(仅剩1套)。户型建面约86-128平方米,均价约4.63万元/平方米,单价区间在4.2-5.2万元/平方米,总价区间在374-628万元/套。
02
契税法确立!房屋交易契税率3%-5%,明年9月1日施行
近日,第十三届全国人民代表大会常务委员会第二十一次会议通过《中华人民共和国契税法》,自2021年9月1日起施行。
划重点:
1、具有土地使用权出让,土地使用权转让包括出售、赠与、互换,房屋买卖、赠与、互换三种行为需按规定缴纳契税。
2、契税税率为3%至5%。 (与1997年7月制定税率是一样的)
契税的具体适用税率,由省、自治区、直辖市人民政府在前款规定的税率幅度内提出并报备。
省、自治区、直辖市可以依照前款规定的程序对不同主体、不同地区、不同类型的住房的权属转移确定差别税率。
本次的发文与1997年7月《国务院令第224号》的发文,关于契税税率都是3%-5%,所以税率是没有变化的,目前深圳的房屋交易契税率为1%-3%,因为住宅契税有优惠政策。

3、明确下列情形免征契税:
<1>婚姻关系存续期间夫妻之间变更土地、房屋权属,免征契税。
<2>法定继承人通过继承承受土地、房屋权属,免征契税。
4、房屋交易按合同成交价格、房屋互换按互换房屋差额、房屋赠与按市场价格征收。
全文如下:
中华人民共和国契税法
第一条在中华人民共和国境内转移土地、房屋权属,承受的单位和个人为契税的纳税人,应当依照本法规定缴纳契税。
第二条本法所称转移土地、房屋权属,是指下列行为:
(一)土地使用权出让;
(二)土地使用权转让,包括出售、赠与、互换;
(三)房屋买卖、赠与、互换。
前款第二项土地使用权转让,不包括土地承包经营权和土地经营权的转移。
以作价投资(入股)、偿还债务、划转、奖励等方式转移土地、房屋权属的,应当依照本法规定征收契税。
第三条契税税率为百分之三至百分之五。
契税的具体适用税率,由省、自治区、直辖市人民政府在前款规定的税率幅度内提出,报同级人民代表大会常务委员会决定,并报全国人民代表大会常务委员会和国务院备案。
省、自治区、直辖市可以依照前款规定的程序对不同主体、不同地区、不同类型的住房的权属转移确定差别税率。
第四条契税的计税依据:
(一)土地使用权出让、出售,房屋买卖,为土地、房屋权属转移合同确定的成交价格,包括应交付的货币以及实物、其他经济利益对应的价款;
(二)土地使用权互换、房屋互换,为所互换的土地使用权、房屋价格的差额;
(三)土地使用权赠与、房屋赠与以及其他没有价格的转移土地、房屋权属行为,为税务机关参照土地使用权出售、房屋买卖的市场价格依法核定的价格。
纳税人申报的成交价格、互换价格差额明显偏低且无正当理由的,由税务机关依照《中华人民共和国税收征收管理法》的规定核定。
第五条契税的应纳税额按照计税依据乘以具体适用税率计算。
第六条有下列情形之一的,免征契税:
(一)国家机关、事业单位、社会团体、军事单位承受土地、房屋权属用于办公、教学、医疗、科研、军事设施;
(二)非营利性的学校、医疗机构、社会福利机构承受土地、房屋权属用于办公、教学、医疗、科研、养老、救助;
(三)承受荒山、荒地、荒滩土地使用权用于农、林、牧、渔业生产;
(四)婚姻关系存续期间夫妻之间变更土地、房屋权属;
(五)法定继承人通过继承承受土地、房屋权属;
(六)依照法律规定应当予以免税的外国驻华使馆、领事馆和国际组织驻华代表机构承受土地、房屋权属。
根据国民经济和社会发展的需要,国务院对居民住房需求保障、企业改制重组、灾后重建等情形可以规定免征或者减征契税,报全国人民代表大会常务委员会备案。
第七条省、自治区、直辖市可以决定对下列情形免征或者减征契税:
(一)因土地、房屋被县级以上人民政府征收、征用,重新承受土地、房屋权属;
(二)因不可抗力灭失住房,重新承受住房权属。
前款规定的免征或者减征契税的具体办法,由省、自治区、直辖市人民政府提出,报同级人民代表大会常务委员会决定,并报全国人民代表大会常务委员会和国务院备案。
第八条纳税人改变有关土地、房屋的用途,或者有其他不再属于本法第六条规定的免征、减征契税情形的,应当缴纳已经免征、减征的税款。
第九条契税的纳税义务发生时间,为纳税人签订土地、房屋权属转移合同的当日,或者纳税人取得其他具有土地、房屋权属转移合同性质凭证的当日。
第十条纳税人应当在依法办理土地、房屋权属登记手续前申报缴纳契税。
第十一条纳税人办理纳税事宜后,税务机关应当开具契税完税凭证。纳税人办理土地、房屋权属登记,不动产登记机构应当查验契税完税、减免税凭证或者有关信息。未按照规定缴纳契税的,不动产登记机构不予办理土地、房屋权属登记。
第十二条在依法办理土地、房屋权属登记前,权属转移合同、权属转移合同性质凭证不生效、无效、被撤销或者被解除的,纳税人可以向税务机关申请退还已缴纳的税款,税务机关应当依法办理。
第十三条税务机关应当与相关部门建立契税涉税信息共享和工作配合机制。自然资源、住房城乡建设、民政、公安等相关部门应当及时向税务机关提供与转移土地、房屋权属有关的信息,协助税务机关加强契税征收管理。
税务机关及其工作人员对税收征收管理过程中知悉的纳税人的个人信息,应当依法予以保密,不得泄露或者非法向他人提供。
第十四条契税由土地、房屋所在地的税务机关依照本法和《中华人民共和国税收征收管理法》的规定征收管理。
第十五条纳税人、税务机关及其工作人员违反本法规定的,依照《中华人民共和国税收征收管理法》和有关法律法规的规定追究法律责任。
第十六条本法自2021年9月1日起施行。1997年7月7日国务院发布的《中华人民共和国契税暂行条例》同时废止。
关于《中华人民共和国契税法(草案)》的说明
——2019年12月23日在第十三届全国人民代表大会常务委员会第十五次会议上
全国人民代表大会常务委员会:
我受国务院委托,现对《中华人民共和国契税法(草案)》作说明。
1997年7月,国务院发布《中华人民共和国契税暂行条例》(以下简称《暂行条例》),规定在中华人民共和国境内转移土地、房屋权属,承受的单位和个人应当缴纳契税。《暂行条例》施行以来,契税运行平稳。1997年至2018年,全国累计征收契税42162.18亿元,其中2018年征收5729.68亿元,为地方经济社会发展提供了重要的财力保障。
为贯彻落实党中央、国务院决策部署,推动完善税收法律制度,按照全国人大常委会和国务院立法工作计划,财政部、税务总局、司法部在《暂行条例》的基础上,经征求有关部门和单位,各省、自治区、直辖市人民政府意见,起草形成了《中华人民共和国契税法(草案)》(以下简称草案)。草案已经国务院常务会议讨论通过。
现说明如下:
一、立法的总体思路
从实际执行情况看,契税税制要素基本合理,运行比较平稳。制定契税法,可按照税制平移的思路,保持现行税制框架和税负水平总体不变,将《暂行条例》上升为法律。同时,根据实际情况,对部分内容作了必要调整。
二、草案的主要内容
(一)关于纳税人。在中华人民共和国境内转移土地、房屋权属,承受的单位和个人为契税的纳税人(第一条)。
(二)关于征税范围。土地使用权出让、转让,房屋买卖、赠与、交换应当依法缴纳契税(第二条)。
(三)关于税率。维持现行税率不变,规定契税税率为3%—5%;具体适用税率,由省、自治区、直辖市人民政府在规定的税率幅度内提出,报同级人大常委会决定,并报全国人大常委会和国务院备案(第三条)。
(四)关于税收减免。一是维持现行国家机关、事业单位、社会团体、军事单位用于办公、教学、医疗、科研、军事设施的土地、房屋免税的规定。二是将现行有关文件规定的税收优惠政策上升为法律。同时规定,国务院可以规定免征或者减征契税,报全国人大常委会备案。(第六条)
(五)关于纳税义务发生时间和申报纳税期限。契税的纳税义务发生时间为纳税人签订土地、房屋权属转移合同的当日(第九条)。纳税人应当在依法办理土地、房屋权属登记手续前申报缴纳契税(第十条)。
此外,草案还对计税依据、涉税信息共享和协作机制等税收征管事项作了规定。
03
历经十年,布吉巨无霸旧改项目首发——招商臻城花园
三联城市更新片区自从2010年被纳入更新计划以来,历经了10年的旧改艰难,终于看到了首期产品入市的曙光,目前项目一期已定名为“招商臻城花园”,由于招商的品牌知名度足够响亮,加上近期布吉新房供应略显短缺,预计会吸引一波关注。
项目基本信息
三联片区改造项目于2010年被纳入更新单元编制计划,拆除用地范围面积约28万平方米,开发建设用地面积约17万平方米,计容建面约96万平方米。
其中,住宅8.4万平方米,商业4.4万平方米,办公3.2万平方米,商务公寓3.4万平方米,公共配套设施1.5万平方米。
下图所示的A01及A06地块即为更新项目一期范围。

2012年9月20日,龙岗区发布吉华街道三联片区城市更新单元一期实施主体公示,确认深圳招商安业投资发展有限公司为实施主体。
如今,三联片区城市更新项目一期已被赋予新的名字—招商臻城花园,总建设用地面积约4.3万平方米,总建筑面积约32.1万平方米,分为2个地块进行开发建设,分别为A01及A06地块。
主体由7栋建筑构成,7栋为保障房,2栋、3栋(01户型)、5栋、6栋三单元(其中9层)为回迁房,回迁房共595户。
由于社区内部并未配置幼儿园,未来上学可能需要依赖后期项目建设或附近其他小区的幼儿园资源。

项目已于2020年5月取得建设工程规划许可证,现部分主体结构已出地面。
项目位于龙岗区吉华街道联桥路和联东路交汇处,靠近布吉老牌大型社区中海怡翠山庄,附近还有近2年入市的住宅项目—里城玺樾山,社区内配建了一所九年制学校—南京师范大学附属龙岗学校。

04
桂园中学、东昌小学、石岩人民医院,深圳项目改扩建
近日,深圳多个项目改扩建,包括桂园中学、东昌小学、石岩人民医院等,一批基础设施将得到提升。
1、桂园中学改扩建
深圳市罗湖区政府投资项目前期工作办公室申请对桂园中学改扩建,该学校位于深圳市罗湖区桂园街道松园东一路北侧。
桂园中学改扩建的规划设计条件公示如下:
改扩建规划设计条件:用地面积2.40万平方米,用地性质为教育设施用地,容积率≤2.42。
规定建筑面积5.80万平方米,其中新建建筑面积5.29万平方米(含教学及教学辅助用房、办公用房、生活服务用房等),保留建筑5100平方米,机动车泊位数178辆(含2辆校车停车位)。
2、东昌小学改扩建
深圳市罗湖区政府投资项目前期工作办公室申请对东昌小学改扩建,该学校位于深圳市罗湖区东晓街道翠竹路西侧。
东昌小学改扩建的规划设计条件公示如下:
改扩建规划设计条件:用地面积9555平方米,用地性质为教育设施用地,规定容积率≤2.04。
规定建筑面积1.94万平方米,其中新建建筑面积1.1万平方米(含教学及辅助用房、生活服务用房以及行政办公用房),教师宿舍700平方米,保留建筑7667平方米,机动车泊位数55辆(含2辆校车停车位)。
3、石岩人民医院扩建工程
石岩人民医院扩建工程(宗地号:A712-0635)位于石岩街道吉祥路西侧,于2013年4月取得《建设工程规划许可证》(深规土建许字BA-2013-0029号),现来文申请该项目总平面图修改。该项目总平面图修改内容(详见附图云线圈示部分)如下:
取消新建住院综合楼与已建门诊楼之间的设计连廊,规定建筑面积由“44938.6平方米”修改为“44434.6平方米”,总建筑面积由“76416.1平方米”修改为“75912.1平方米”。

05
二手房成交量现下滑,公寓成交量走高
深圳史上最强调控出台以来,购房者的购买力被挤压至公寓市场和临身区域。短期内深圳楼市成交量会下滑,房价下调空间不大。
上周新房市场成交1036套,环比增加24.4%。

上周商业物业成交241套,环比增加46.1%,办公物业成交91套,环比增加25.4%。

购买力短期呈下降态势 二手房观望
上周二手房成交2838套,环比减少13.1%。目前成交应该包含了一部分政策出台之前的积压成交完成过户。
从目前的情况看,二手房的价格仍然比较平稳。

内容整合自:深圳买房计划、楼市大事、咚咚牛浩思、规划先锋、第一数据
界面楼谈 扫描二维码,一起买房吧!



评论