文|Foodaily每日食品
“为什么连小孩子都不相信的“长生不老药”,大人们却信了?”
古代时,“长生不老”、“延年益寿”等都是“上层阶级”追求的终极目标,所以各种灵丹妙药应运而生;如今,生活水平提升,教育发展进步,各种“抗衰老”、“逆龄生长”宣称的食品、保健品层出不穷;但有点不可思议的是,在21世纪的今天,仍然有“长寿药”备受消费者追捧:
2013年,哈佛大学一个研究团队发现了一种名为“β-烟酰胺单核苷酸(NMN)”的物质,宣称能够有效延长小白鼠的寿命,制造商们便从中发现商机,此后各种含有NMN成分的食用产品在国外及国内网站上卖得火热;
2017年,富豪李嘉诚在服用美国公司ChromaDex一款含有NMN的补充剂后表示“感觉回到20岁”,随即投资2500万美元;
2019年,商界大佬潘石屹发微博亲证,吃了麻省理工学院研发的一款NMN产品后,指甲长得很快;
除了富豪圈的大咖,还有学术圈的大咖也对NMN抗衰老的理念表示支持,其中不乏有诺贝尔得奖者……
在这些权威人士的认证下,在那些顶流人群的推动下,NMN迅速成为了风靡市场的香饽饽,各大媒体平台争相报道,各大小型企业争相生产,于是像滚雪球一样越滚越大,NMN被传得神乎其神!
为什么连小孩子都不相信的“长生不老药”,大人们却信了?Foodaily今天将带大家揭开NMN这一传奇的面纱!
01、NMN是谁?
被“神化”了的NMN其实也不过是人体中很常见的维生素B3(又名烟酰胺)的衍生物,学名为“烟酰胺腺嘌呤单核苷酸”,以两种形式——α和β——存在于部分水果蔬菜(花椰菜、卷心菜、牛油果、番茄)和禽肉(牛肉)中,而发挥生物活性作用的主要成分是β-NMN。
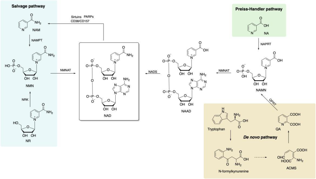
当NMN被吸收入人体后,可以直接跨越细胞膜,通过线粒体等“能量加工器”转化为辅酶NAD+(氧化型烟酰胺腺嘌呤二核苷酸),而这一辅酶参与了机体内几乎所有的生理反应,如能量生成、损伤修复、新陈代谢、组织再生等。

图片来源:《NMN品类发展白皮书》 NAD+合成途径
此外,研究表明,体内的NAD+会随着年龄的增长而逐渐减少,而直接补充这一辅酶又不易被人体吸收,所以,作为NAD+的前身——NMN既好吸收又可体外合成——成为了当之无愧的明星产品。
02、NMN究竟“神话”在哪里?
1、支持NAD+生成,延缓机体衰老进程
早在1904年,NAD+就在酿酒过程中被发现,因其在酵母细胞代谢过程中的关键作用——提供能量——而被不断探究。
烟酸、烟酰胺、烟酰胺核糖、NMN等NAD+前体在一次次实验中被挖掘出来,尤其是它们的抗衰老、延长寿命的作用成为了经久不衰的热门话题。
1937年,生化学家ConradElvehjem利用烟酸治疗了狗的糙皮病,自此便开始应用在疾病治疗中;而它经过酰胺化便可成为烟酰胺,至今都活跃在各大品牌的美白护肤品中。
1944年,烟酰胺核糖被发现能够促进流感嗜血杆菌的生长;60年后,它才作为NAD+的前体应用于抗衰老研究。
2007年,美国爱荷华大学生物化学系教授CharlesBrenner发现了NMN延缓衰老的作用,此后对于NMN的研究就没有停止过步伐。
2013年,哈佛大学医学院David Sinclair教授的团队分别对6个月大和22个月大的小鼠服用PBS(磷酸盐缓冲溶液,可作为安慰剂即没有治疗作用)和NMN,一周之后,他们发现22个月大的老鼠体内的NAD+和ATP的量有显著的上升,还有一些其他的衰老方面的生化指标也都有所逆转。[1]

图片来源:文献[1] 图E:6个月和22个月大的老鼠分别使用PBS和NMN之后,体内的NAD+的含量变化;图I:6个月和22个月大的老鼠分别使用PBS和NMN之后,体内的ATP的含量变化
以上四种物质发挥作用的机制,均是在细胞内转化为NAD+之后,提高线粒体的活性,加速组织修复和再生,辅助机体新陈代谢,从而提高人体免疫力、延缓衰老。
但是,相关研究表明,烟酸会引起皮肤潮红、肝脏毒性等不良反应,烟酰胺在体内逗留时间过短、药效发挥不充分,只有烟酰胺核糖和NMN不仅副作用少,还具有良好的口服生物利用性。
因此,NMN和烟酰胺核糖更多地被运用于膳食补充剂等保健品中。
2、激活蛋白家族Sirtuins,参与生理反应
Sirtuins家族共有7种蛋白,分别存在于细胞核、细胞质和线粒体中,各司其职。
继20世纪70年代,遗传学专家Amar Klar博士发现了第一个SIR2蛋白之后,SIR3、SIR4、SIR5等其他蛋白被陆陆续续挖掘出来。
随着科学家对这些蛋白的深入研究,它们的功效以及机制逐渐明了。有参与调控热量限制的SIR2,有加快细胞修复、降低细胞对氧化损伤敏感性的SIR6,还有限制肿瘤细胞生长发育的SIR7……
因此,这一家族被人们称为“抗衰老蛋白家族”。
而该蛋白的活化依赖的正是NAD+的催化作用,也可以说,NAD+发挥抗衰老的重要途径之一便是激活Sirtuins蛋白,使其调控细胞的新陈代谢以及基因的修复应激等过程。
2019年,科罗拉多大学生理学系的一个团队开展了一项实验,分别把年轻老鼠和年老老鼠分成对照组和NMN组,结果得出不管是年轻还是年老的老鼠体内,补充了NMN之后SIR1蛋白的水平都有显著的提高。
此外,通过比较主动脉中乙酰化NFκB/总NFκB(比值越高,SIR1活性越低)这一数值发现,补充NMN能有效降低老年老鼠组的这一数值,也就是说,能有效恢复老龄化主动脉的SIR1活性。[2]

图片来源:文献[2] YC:年轻小鼠对照组;OC:年老小鼠对照组;YNNM:年轻小鼠NMN组;ONMN:年老小鼠NMN组:图A:SIRT1蛋白含量;图B:乙酰化NFκB/总NFκB比值变化
3、修复基因损伤,延长细胞寿命
《Nature》杂志上曾发表过一篇文章,揭示了PARP酶对断裂的DNA进行修复的过程与分子机制,为癌细胞对抗癌药物产生耐药性提供了新的破解思路。
而这个酶起效的重要底物之一就是NAD+。当NAD+水平下降时,PARP酶被迫与另外一个因子结合而失去修复DNA的作用;当NAD+水平上升时,PARP的修复作用才会恢复。
2017年,哈佛大学医学院在《Science》杂志上发表一项研究,把22个月大的老鼠分成两组,同时暴露于辐射状态,一组作为对照组——不作治疗,一组作为实验组——腹腔注射NMN 500mg/kg/天,一周之后,注射NMN组的老鼠体内的NAD+水平明显升高,同时,PARP与另一因子的结合过程显著受到干扰。[3]

图片来源:文献[3] 图D:暴露辐射的22个月大的老鼠,腹腔注射PBS和NMN之后NAD+含量变化;图E:暴露辐射的22个月大的老鼠,腹腔注射PBS和NMN之后结合物的浓度变化
因此,腹腔内注射NMN能间接修复基因损伤。
4、维持新陈代谢,协助体重管理
提到“新陈代谢”一词,想必大家都不会陌生,减肥、美容、康复、祛痘、抗衰老等各个过程中都会涉及到。
俗话说,旧的不去,新的不来,只有把那些失效的、功能减退的、衰老的东西从体内排出,才能促使全新的、功能健全的、活性的物质生成,而这种不断进行的物质交换和代谢平衡,恰是维持生命的关键环节,也是保持体重的本质所在。
2017年,新南威尔士大学的一支团队以遗传性肥胖的小鼠为研究对象,分别给予NMN和运动,结果显示两者均能减少体重,改善葡萄糖耐受性和线粒体功能;但是,NMN在肝脏的脂肪分解代谢和合成代谢上比运动更有效。[4]
2019年,马里兰大学向老鼠注射NMN,发现能促进老鼠大脑的海马体中的线粒体NAD+水平增加,促使脑组织的能量分子ATP上升,提高线粒体中抗氧化酶的活性,提高机体能量代谢。[5]

图片来源:文献[5] 图C:注射NMN后老鼠大脑的海马体中的线粒体NAD+水平变化;图E:射NMN后老鼠大脑的海马体中的线粒体ATP水平变化
5、改善血管弹性,促进心脑血管健康
随着久坐式工作及西餐式饮食的流行,肥胖成为了新一代人群的象征,可怕的是,脂肪不仅会堆积在皮下及内脏器官,还会在血管壁内沉积,从而导致一系列的血管疾病。
此外,年龄的增长又会让血管逐渐丧失弹性和柔软性,干巴巴的血管无法有效搬运氧气和二氧化碳、营养物质和代谢废物等,使人体的组织器官如同一潭死水,失去活力。
人体最重要的两大器官——心和脑——失去了血液的供应,就像鱼儿离开了水,人体的健康失去了保障。
2018年,哈佛大学医学院DavidSinclair教授率领团队,对18个月大的老鼠喂服NMN持续2个月,发现这批老鼠的毛细血管的数量和密度恢复到了年轻小鼠的水平,而且运动耐力提升58-80%。[6]

图片来源:文献[6] 在低强度和高强度运动试验下,喂服NMN的小鼠的运动耐力的变化
另外有研究表明,腹腔内注射NMN,不仅能防止缺血期间心脏中NAD+的减少,保护心脏免受缺血/再灌注损伤(可以理解为给一个饿极了的人吃大鱼大肉,反而会对本就脆弱的胃肠道增加更大的负担);还能减轻大脑微血管内皮细胞的氧化应激,保护血管内皮的功能。[7,8]
6、改善胰岛素抵抗
通俗而言,胰岛素抵抗就意味着机体对胰岛素的敏感性低,这些胰岛素就失去了效果;当人体摄入葡萄糖时,没有足够有效的胰岛素去降低血糖,就会导致糖尿病。
华盛顿大学医学院的Kelly L.Stromsdorfer博士发现肥胖小鼠和老年小鼠体内的NAD+水平下降,与器官的胰岛素抵抗相关。他们建立胰岛素抵抗的小鼠模型,通过在饮用水中注射NMN喂养小鼠,发现其体内的血糖水平明显下降。[9]
可见,NMN对胰岛素抵抗有逆转作用。

图片来源:文献[9] 图B:NMN喂养之后的小鼠体内NAD+的含量变化;图C:注射NMN之后小鼠体内血糖水平随时间的变化
7、防止骨密度下降
随着年龄的增长,不仅人体的外貌出现衰老,体内的脏器也会功能减退。
衰老永远不会缺席,却可以迟到。通过人为的补充营养或良好的生活习惯,可以有效较少衰老因素的堆积,从而延缓衰老的进程。
2016年,华盛顿大学开展了一项长期试验——将口服12个月NMN和正常衰老的小鼠对比,发现口服组能有效消除各种与衰老相关的生理衰退,如体重增加、代谢降低、体力不足、视力减退、免疫力低、骨密度下降等,且没有毒副作用。[10]

图片来源:文献[10] 红色代表口服NMN组;图F:骨密度
03、如此高深莫测的NMN如何制成?又如何呈现在世人面前?
1、生产方法及质量保障
随着科学技术的发展,NMN原料的生产方式在不断进步。
最原始的就是发酵法,就像酿酒的过程,让微生物慢慢地进行合成反应,但是这种方式可控性很差,效率低,成本高,不利于工业化生产。
进一步是化学合成法,不同的化合物以各种有机溶剂为媒介发生反应,相比发酵法,这一方式简单、成本低,但是在中国一般不予批准利用化学合成工艺获得的纯化合物。
最安全、最高效的就是生物酶催化法,利用酶的催化作用,将生物合成反应进行彻底,提高原料的纯度,另外酶的定向进化技术又加速了反应,提升了效率。在此法基础上,科学家又应用了酶定向进化技术,极大地提升了生产效率与产品品质。
考虑到食品安全的问题,在生产过程中,除了原料外,辅料等加工助剂都需要符合美国药典-国家处方局或者欧洲药典或者FDA非活性成分指南等文献的规定和标准。另外,产品的包装如胶囊壳也必须要保证其安全性和适用性。
当然,不同国家的生产要求也不同,英国有《食品安全全球标准》、欧洲有欧盟动物源性产品注册、美国有《动态药品生产管理规范》等认证,进口到国内,还需要得到《食品安全国家标准保健食品》的认证。
2、NMN在市场上的产品形式
目前市场上的 NMN 制剂分为单方制剂和复配制剂两种,剂型以片剂、胶囊剂为主,也有粉剂和舌下含片。
Prohealth自1988年成立以来,一直努力帮助人们变得健康,目前旗下的ProHealth Longevity根据历年来的科学研究结果,致力于用最优质的原材料打造出最符合质量标准的NMN产品,延缓人们的衰老。
该产品通常有粉末、缓释片、锭剂和胶囊四种形式,其中有款最新的延迟释放抗酸胶囊获得了专利,可以保护NMN免受胃酸的侵害,直接护送到小肠被吸收。

图片来源:prohealthlongevity
DoubleWood将NMN制成胶囊形式,建议每天的剂量为250-500mg。
NMN吸收速度非常快,半衰期短,如果要在一天中尽可能多的时间内保持较高的NAD +水平,建议上下午各一粒;如果要服用更高的剂量,可以早上服用一粒125毫克的胶囊,然后根据总剂量继续每1-3小时再服用一粒额外的胶囊。

图片来源:doublewoodsupplements
AliveByNature主要有脂质体舌下凝胶、舌下含服粉末或片剂、经皮的乳液或精华素以及鼻内喷剂四种形式。
其中,脂质体由磷脂组成,能和细胞膜充分地结合在一起,促进营养物质的吸收;另外,脂质体还有延缓释放的特点,延长活性物质的生物利用时间,而且,它直接从舌下的淋巴管等途径直接吸收入血液,绕过胃肠道而充分发挥药效。
而鼻内喷剂是将NAD+直接递送到大脑的最有效、最迅速的方法,绕过血脑屏障减少全身不良反应,局部用药可减少药物剂量。

图片来源:alivebyscience
04、NMN在中国市场的现状如何?
1、消费者:精神状态变好,各种功能有待认识
当下,NMN逐渐进入中国消费者的视线,成为中国主流电商平台上常见的营养补充剂,但消费者们仍然普遍缺乏相关专业知识,尚难辨别NMN产品优劣,并对其功效认识不完全。
去年10月,艾瑞咨询公司对1220个日常拥有服用保健品习惯的人群进行调查,发现其中有30.3%的人服用过NMN保健品。
虽然NMN在国外已有长达两个世纪的历史,但是真正在国内打开市场也就在近几年。在369个服用NMN保健品的人群中,有将近一半的人是在近一年内接触到NMN产品的。

注:2020年5-9月“NMN”天猫搜索人气;数据来源:艾瑞咨询
在绝大多数人的认知里,NMN最主要的功效就是增强免疫力和改善睡眠,其实,这只是冰山一角,可见,消费群体对于NMN的了解不够充分,但是有78.5%的消费者愿意进一步了解。
除此以外,受访者对产品的价格有很大的包容性,平均价格接受值在1511.9元,这或许和他们服用NMN产品之后达到的功效相关。
而在服用NMN成分的保健品后,受访者感到最明显的效果是精神状态变好和精力旺盛,其次是皮肤紧致有光泽,再次是睡眠质量的提高,当然,还有少数人觉得视力、记忆力、食欲都有所改善。

注:2020 年受访消费者 NMN 成分保健品使用效果;数据来源:艾瑞咨询
2、主要依赖跨境电商进入国内市场,标准质量参差不齐
因NMN在国内尚不可用于食品生产,所以当下国内市场上,众多品牌的NMN产品主要靠境外制造并通过跨境电商进入国内市场到达消费端。
由于各出口国的相关管理制度不同,使NMN类产品的管理类别、定义和产品标准等差异非常大,例如在日本是普通食品,在美国属于膳食补充剂,在加拿大是天然健康产品,在欧盟是食品补充剂,在澳洲是补充药品等。
不过,产品的安全与品质首先决定于NMN原料的质量。目前,中国是世界上最主要的NMN原料生产国,但是尚无公开发布的NMN原料标准,原料生产企业执行的都是自己的企业标准,这样势必造成 NMN原料的关键指标甚至安全性指标参差不齐的现状。可见,为促进NMN品类产品行业的健康发展,建立NMN原料的行业标准势在必行。
综上所述,NMN在中国的市场虽处于起步阶段,却仍有潜在的消费群体和较大的销售空间待发掘。
05、小结
经过数十年的科学研究,NMN与促进新陈代谢、改善血管功能、防止骨密度下降等相关,但这些都是基于动物实验,尚不能照搬到人体,功效、合适剂量、不良反应、疗程等都是一个未知数。
目前公开的人体临床试验仅一项,为2019年日本庆应大学开展的非随机试验,招募10个健康人,分别给予100mg,250mg和500mg的NMN,以每次服用5min后体内NMN的浓度为终点目标。
结果显示,NMN在体内很快就被代谢掉,且没有引起任何不良反应。[11]
虽然结果很好看,但是样本量太少,而且没有其他的临床试验加以佐证,未来还需要投入更多的精力开展相关人体试验。
据报道,广州体育学院已成立一个关于运动联合NMN营养敢于对中老年人糖尿病前期患者的作用效果的国家重点专项,目前正在大力开展中。相信在不久的将来,NMN保健产品将拥有更加严谨科学的依据,为消费者人身安全权益争取保障。
除此以外,NMN的市场需求量暴涨,很多小型企业哪怕没有任何营养补充剂基础业务,也都争相投入资金,以牟取可观利益。
再加上媒体流量的大肆宣扬,消费者对产品认知的欠全,行政管理的缺失,国内的NMN产品价格差异大、质量参差不齐,存在一定的市场混乱风险和消费者安全风险。
综上,即便NMN的发展空间很大,但想要快速又稳定地立足市场,必须严格规范生产条件,比如对原料进行毒理学评价和安全性评估、严禁使用国家明令禁止的成分等;还需要建立规范,不管是进口、上架,还是宣传、销售等。
参考文献:
[1]Gomes A P, PriceN L, Ling A J,et al. Declining NAD(+) induces a pseudohypoxic state disruptingnuclear-mitochondrial communication during aging[J]. Cell,2013,155(7):1624-1638.
[2]de Picciotto N E, Gano L B,Johnson L C, et al. Nicotinamide mononucleotide supplementation reversesvascular dysfunction and oxidative stress with aging in mice[J]. Aging Cell, 2016,15(3):522-530.
[3]Li J, Bonkowski M S, Moniot S,et al. A conserved NAD(+) binding pocket that regulates protein-proteininteractions during aging[J]. Science, 2017,355(6331):1312-1317.
[4]Uddin G M, Youngson N A, DoyleB M, et al. Nicotinamide mononucleotide (NMN) supplementation ameliorates theimpact of maternal obesity in mice: comparison with exercise[J]. Sci Rep,2017,7(1):15063.
[5]Klimova N, Long A, Kristian T.Nicotinamide mononucleotide alters mitochondrial dynamics by SIRT3-dependent mechanismin male mice[J]. J Neurosci Res, 2019,97(8):975-990.
[6]Das A, Huang G X, Bonkowski MS, et al. Impairment of an Endothelial NAD(+)-H2S Signaling Network Is aReversible Cause of Vascular Aging[J]. Cell, 2019,176(4):944-945.
[7]Tarantini S, Valcarcel-Ares MN, Toth P, et al. Nicotinamide mononucleotide (NMN) supplementation rescuescerebromicrovascular endothelial function and neurovascular coupling responsesand improves cognitive function in agedmice[J]. Redox Biol, 2019,24:101192.
[8]Kiss T, Nyul-Toth A,Balasubramanian P, et al. Nicotinamide mononucleotide (NMN) supplementationpromotes neurovascular rejuvenation in aged mice: transcriptional footprint ofSIRT1 activation, mitochondrial protection, anti-inflammatory, andanti-apoptotic effects[J]. Geroscience, 2020,42(2):527-546.
[9]Stromsdorfer K L, Yamaguchi S,Yoon M J, et al. NAMPT-Mediated NAD(+) Biosynthesis in Adipocytes RegulatesAdipose Tissue Function and Multi-organ Insulin Sensitivity in Mice[J]. CellRep, 2016,16(7):1851-1860.
[10]Mills K F, Yoshida S, Stein LR, et al. Long-Term Administration of Nicotinamide Mononucleotide MitigatesAge-Associated Physiological Decline inMice[J]. Cell Metab, 2016,24(6):795-806.
[11]Irie J, Inagaki E, Fujita M, etal. Effect of oral administration of nicotinamide mononucleotide on clinicalparameters and nicotinamide metabolite levels in healthy Japanese men[J].Endocr J, 2020,67(2):153-160.
[12] NMN品类发展白皮书,庶正康讯 X 天猫国际,2020年11月.
首图来源:Tru Niagen


评论