
虽然红五月已过去,但是楼市的开盘潮气息依旧在蔓延~
继5月31日多家楼盘加推后,今日又有4家楼盘成功申领销许,明日开启报名!此外今日还有5家楼盘正在火热报名中、3家楼盘公证摇号,最快上午摇号,晚上就开盘!
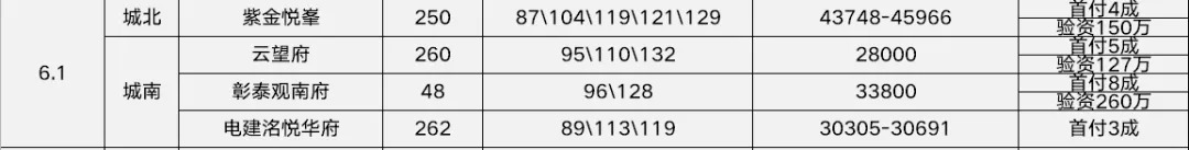
01、今日,4家领取销许,明日报名!
根据南京网上房地产官网显示,今日南京楼市共有4家楼盘申领销许,分别是城南的云望府、彰泰观南府、电建洺悦华府以及城北的紫金悦峯。
城南热盘云望府项目领取3#、6#两栋楼销许,共计约260套房源,建面约95、110、132㎡户型,均价,精装交付,首付5成,验资127万。明日(6.2)开启报名,报名时间为6月2日上午9点至6月3日上午9点,报名请关注“云望府”微信公众号。
值得注意的是,建面约132㎡的户型本次将全部推出,后期不会再有,错过再无!
此外,本次加推的两栋楼中,3#楼为楼王,前后无遮挡,直面社区景观,不管是视野、通风、采光简直无敌!6#楼紧邻3#楼,距离小区中央景观也很近,并且6#楼与前楼的楼间距超约100米!
户型一览:
彰泰观南府今日领取6号楼收官楼栋销许,共计48套房源,户型建筑面积96、128㎡均价33935元/㎡,全装修交付,可另加装修包约1800元/㎡。明日(6.2)开启报名,报名时间为6月2日上午9点至6月3日上午9点,报名请关注“彰泰南京”微信公众号。
电建洺悦华府今日(6.1)新领5、6号楼销许,户型建筑面积89、113、119㎡,共计262套房源(其中优先人才优先和无房家庭各79户),销许均价为30305-30691元/㎡,两梯四户,精装交付。明日(6.2)开启报名,报名时间为6月2日上午9点至6月3日上午9点,报名请关注“电建地产南京洺悦华府”微信公众号。
紫金悦峯今日(6.1)新领A地块13号楼和C地块1、4号楼销许,户型建筑面积约87、104、119、121、129㎡,共计250套房源(包含人才和无房家庭优先房源各75套),销许均价43748-45966元/㎡,首付最低4成,验资154万。明日(6.2)报名,报名时间为6月2日上午9点至6月3日上午9点,报名关注“电子城南京国际数码港”微信公众号。
此外,根据南京网上房地产官网显示,昨日南京共计5盘成功领取销许,其中最高首付8成、验资600万,均于今天开始报名。
① 璞境
位于江心洲的豪宅项目璞境,昨日新领5号楼,共计100套房源销许,其中143㎡、166㎡户型各50套,销许均价约49987元/㎡,可选升级装修3500元/㎡。5号楼位于小区中心位置,景观优势明显。此次加推首付8成,验资600万起。
报名时间:6月1日上午 9:00—6月2日上午 9:00
报名方式:关注公众号“中南置地南京区域”
户型一览:
璞境距离地铁10号线江心洲站约400米,地块周边分布仁恒绿洲新岛、江岛华庭、洲岛家园等成熟小区,此外,项目东侧就是已经建成的大型商业体仁恒置地广场。
②朗诗九龙熙岸
位于江宁九龙湖的纯新盘朗诗九龙熙岸,昨日领取1-5号楼,共198套精装房源销许,其中人才房、无房家庭保障房各60套,户型面积91、127、133、137㎡,销许单价约36000元/㎡,报名需验资90万。
报名时间:6月1日上午9:00—6月2日上午9:00
报名方式:线上报名邮箱1207923570@qq.com或朗诗九龙熙岸售楼处
项目前身为九龙湖居住区C期,项目于2003年拿地,由南京达来房地产开发有限公司开发。项目东侧为九龙湖别墅,西侧为藏龙御景,附近有地铁3号线九龙湖站、配套成熟。
朗诗九龙熙岸涵盖小高层、低密度多层、双拼和独栋四种业态,打造5栋高层、9栋联排别墅、17栋独栋别墅、以及一所幼儿园,容积率0.78。
③望江悦府
位于江北城南中心的望江悦府,昨日新领7、15号楼,共计144套房源销许,均价23282-30388元/㎡。
报名时间:6月1日上午9:00—6月2日上午9:00
报名方式:关注公众号“弘阳南京区域”
项目共规划建设18栋高层住宅,精装交付,距离地铁11号线森林大道站约800米,距离10号线浦口万汇城站约1200米。
02、江宁纯新盘上午摇号,晚上首开!
① 芳原
据项目公众号显示,江宁纯新盘芳原项目将于今晚18:30开始签到。
根据南京公证处信息显示,项目刚于今日上午11时30分开始了第一轮公证摇号,本次共有292组有效买房人报名参与摇号,综合中签率约29%。
作为上秦淮的纯新盘,芳原本次首开21、22号楼,共计84套带装修房源,其中人才房17套,无住房保障房源26套,户型建面约105、111、125㎡,销许均价约33657-33764元/㎡。
芳原前身为上秦淮G81地块,2020年11月,孔雀城经27轮竞价触顶最高限价竞得,后孔雀城却径直退出,由美的和金茂联合打造,后期由美的负责操盘。根据规划,项目打造22栋多层住宅,包括9栋4层叠墅产品,3栋5层洋房和10栋7层洋房产品。
户型一览:
②大华锦绣江来
此外,江核热盘——大华锦绣江来项目也于今日一早在桥北体育馆加推,本批次集中销售房源为锦绣江来花园7#、8#、10#、13#栋房源,共计276套,户型面积为102、125、135㎡,共计276套,精装均价34800-35540元/㎡,吸引了3477组买房人报名,综合中签率7.94%。
户型一览:
项目前身是江北核心区G11地块,去年6月,经过65轮竞拍,被大华拿下,楼面地价23385元/㎡,成为板块地价最高的楼盘,可见其抢手程度。
根据规划,楼盘将建15栋17-18F住宅,总户数约1016户。15栋住宅呈三列,每列五栋建筑依次排开,前后平均楼间距约40米,左右楼间距约25-30米。
在户型设计上,楼盘打造了建筑面积约102-135㎡户型,精装修交付,一梯一户设计,值得注意的是,该项目是目前江核唯一的独立梯户的楼盘。
除此之外,今日南京还有两家楼盘进行公证摇号,分别是深业青珑上府、万科燕语光年。
①深业青珑上府
作为紫东热盘,深业青珑上府项目也于今日13时40分开始第一轮公正摇号。
本次摇号房源为4、6、10号楼,共238套住宅,其中对人才优先供应房源72套,无住房家庭保障房源数72套。精装整体均价30810元/㎡。户型建筑面积117、127㎡。首付5成,报名需要验资150万。共吸引1590组报名摇号,总中签率14.5%。
户型图一览:
深业青珑上府位于紫东核心区四望路与东流路交汇处,北靠南外仙林分校紫东江宁分校,南近地铁4号线,占位紫东核心区居住综合区。
项目在去年12月份迎来了首开,现场非常火爆,不少买房人认为这是不可多得的鸡腿盘,机会难得,所以毫无悬念的首开全部售罄!
项目的前身为青龙地铁小镇G78地块,该地块在2017年的土拍中被深业以12亿元竞得,须配建一处15班幼儿园。根据规划,项目共打造9栋高层住宅,其中7栋17层、2栋18层。
此外,项目为全装修交付,三大件齐全,科林贝思的新风,菲斯曼的地暖,格力的中央空调,VOC的智能入户门电子锁、德系摩恩的淋浴器、台盆龙头等五金件、港华紫荆的油烟机、灶具、德系科勒的卫浴洁具等等。
② 万科燕语光年
万科燕语光年第一轮摇号活动暂定于2021年6月1日18时,初步中签率17.9%!
摇号房源为2、3号楼,户型建筑面积约89、109、118、130㎡,共计321套房源(人才房及无住房保障家庭房源各97套),全装修均价33838-34504元/㎡,可另选择升级装修包。首付5成,验资145万。
户型一览:
想要了解更多楼市资讯,探讨楼市最新动态,欢迎关注微信号:ssjzyw


评论