01.罗湖独树阳光里摇号结果出炉!308批选455套,均价约7.9万/㎡
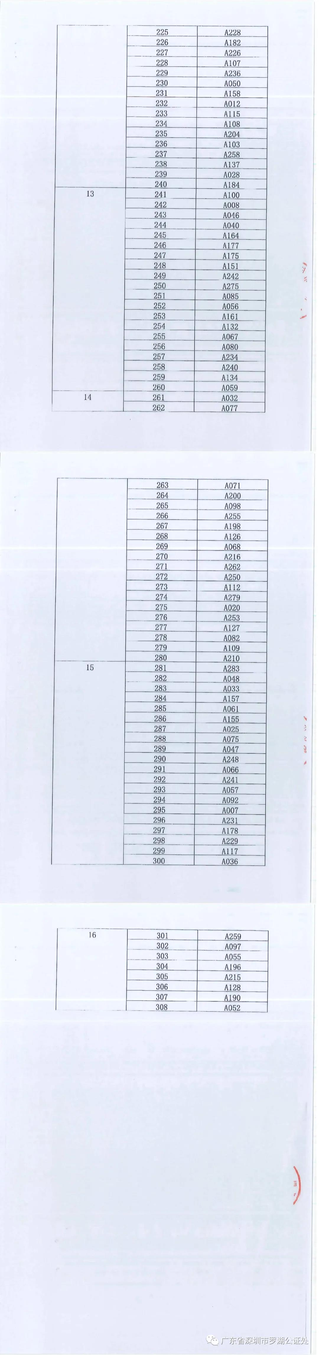
12月17日,罗湖独树阳光里在罗湖公证处进行公证摇号,摇取选房顺序号。
将于12月18日进行线下选房。
项目已于12月16日公示登意向登记人名册,此次共有308批客户。
本批次备案455套住宅,位于项目1栋ABCD座,建面约38-158平方米,备案的均价约7.9万元/平方米,单位区间6.8万-9.3万元/平方米,总价区间为354-1487万元/套。
摇号结果:



02.深圳二手房7连跌,11月70城房价出炉!新房环跌城市数,创6年新高
据“深圳市房地产信息网”信息,12月15日,国家统计局公布《2021年11月份70个大中城市商品住宅销售价格变动情况》。
解读表示,2021年11月份,70个大中城市商品住宅销售价格环比延续下降态势,同比涨幅持续回落。
据深圳商报统计,其中9个城市环比上涨,2个城市环比持平,59个城市环比下跌。新房价格环比下跌的城市数量,创下2015年3月以来的新高。
据测算,11月份,一线城市新建商品住宅销售价格环比持平。其中,北京和上海环比分别上涨0.3%和0.2%,广州下降0.6%,深圳持平。
一线城市二手住宅销售价格环比下降0.2%,降幅比上月收窄0.2个百分点。其中,北京、上海、广州和深圳环比分别下降0.2%、0.1%、0.5%和0.2%。
值得注意的是,深圳二手房价格已经连续7个月环比下降。
5月份,深圳二手房销售价格环比下降0.1%,6月份环比下降0.2%,7月份和8月份均环比下降了0.4个%,9月份环比下降0.5%,10月份环比下降0.2%,11月环比再继续下降2.2%。


评论