
“前面用两堂课来介绍量子力学发现的背景,上一讲正式谈量子力学,初步‘尝’了一下薛定谔方程怎么解。今天我们‘进军’氢原子,研究氢原子最简单的状况。”张朝阳直奔主题,“我对氢原子很感兴趣,理解了氢原子问题,我们将来就有可能理解万物。”他说,“不过,别小看氢原子,要解起来太复杂。”
算符乘法讲究对易关系 左右顺序在此非常关键
“我们只学会一丁点儿量子力学的知识,就来解最难的氢原子问题。”为解决氢原子问题,张朝阳进一步介绍算符的运算规则与对易关系。
他指出,算符可以相加,算符之和作用到波函数上,定义为分别作用到波函数上再求和。加法满足交换率与结合率,跟传统的加法无异,但是算符的乘法就与传统的乘法非常不同了。算符之积作用到波函数上,定义为先作用右边的算符再作用左边的算符。这样算符的乘积里左边算符与右边算符位置是不能随意交换的,即算符之积不满足交换率,这导致了量子力学与经典力学有非常不同的性质。为了描述这种乘积顺序的不对易性,我们引入“对易关系”,将两个算符之积的不同顺序相减,具体用数学符号表示为:
张朝阳具体介绍算符的加法乘法与对易关系之间的运算规则,他边说边在“直播小白板”上推导:
他指出,了解这些算符的运算规则,才能顺利解氢原子的薛定谔方程。
两体系统选取质心坐标 分离变量体现内部特征
实际上,氢原子由质子与电子组成,其薛定谔方程包含描述质子与电子的算符,是个二体系统,张朝阳向网友展现氢原子的薛定谔方程:

张朝阳介绍,虽然氢原子的薛定谔方程中,电子与质子的动能项是分开的,但由于质子与电子之间的势能与他们之间的相对距离有关,所以不能单纯地把电子与质子分开,会导致这个方程变得很复杂。他表示,要解这个方程,需要重新找一组变量,新的这组变量不仅需要满足原来的正则对易关系,而且可以将复杂的二体薛定谔方程分解成单体薛定谔方程。
张朝阳讲到,根据势能只与电子和质子的相对距离有关这个性质,可考虑将电子与质子组成的二体系统,分解为相对运动与质心运动,新的这组变量与原来的质子电子变量形成关系。

经过推导,张朝阳带着网友证明了这组新的变量满足正则对易关系。

另外,他们还发现,利用这组新变量可将原来的氢原子定态薛定谔方程改写。

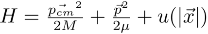
在这个新形式的哈密顿量中,第一项是关于质心运动的,而第二项与第三项是关于相对运动的,从而波函数的质心运动部分与相对运动部分可以分开。

代入到薛定谔方程之中,再利用分离变量法,就将原来的二体定态薛定谔方程,分解为质心运动部分与相对运动部分。
“可以看出,能量被分为质心运动能量与相对运动能量,其中质心运动能量对应的薛定谔方程,是描述电子与质子整体自由运动的方程,而相对运动能量对应的定态薛定谔方程,则是关于氢原子内部结构的方程,氢原子能级与氢原子的波函数将会从这个方程里导出。”张朝阳介绍。
“今后还要花四、五节课把氢原子的问题给算出来。”直播尾声,他告诉网友,“下一堂课,将探讨角动量问题。”
搜狐视频发力知识直播 传播知识玩转科学
自11月5日至今,《张朝阳的物理课》已直播二十期。在第一、二课中,张朝阳科普了“力”和“速度”,算出马斯克的飞船和中国空间站每日绕地飞行圈数;第三、四课和“振动”相关,科普可见光的基本知识;第五、六课引发了关于音速和温度的大讨论;在第七、八、九课重温经典力学的两朵乌云。
第十、十一课重点回顾黑体辐射曲线及其应用;第十二、十三、十四课尝试进入爱因斯坦的思想世界,推导出著名的公式“E=mc²”,并论证钟慢尺缩效应;第十五课讲解了原子的结构和原子核的衰变;第十六课开始进入量子力学,讨论光的波粒二象性、康普顿散射、海森堡不确定性,以及薛定谔方程等。
从近二十期的物理课可以看出,《张朝阳的物理课》的直播风格独树一帜——通过观察日常生活现象、用网友最熟悉的话题来提升兴趣,再以公式推导的方式解释其背后的物理原理,“透过现象看本质”,进而反过来解决生活中的类似问题。
张朝阳认为研究自然界是特别有意思的事情,他希望物理课的受众能保有好奇心,“在好奇心驱使下,了解自然界的奥秘,了解我们在这个世界生存的道理”。在后续课程中,他还将继续以这种直播风格解释生活中常见的物理现象,让普通人能够听懂、专业人士也能认可,激发科学学习的热潮。该课程于每周周五、周日12时在搜狐视频直播。同时,网友可以在搜狐视频“关注流”中搜索“张朝阳”,观看往期完整视频回放。
除《张朝阳的物理课》外,搜狐视频也邀请多位通识教育播主,科普知识,传递价值。北京交通大学理学院教师陈征博士玩起了“奇趣的科学实验”,走进“光的波粒二象性”;康奈尔大学物理化学博士包坤,化身“包大人玩科学”,教普通人看懂2021年诺贝尔奖;还有天体物理博士刘博洋科普“日全食是怎么产生的”等,近期走红的理论物理博士后周思益,也来搜狐视频开通“弦论世界”直播课。未来,还将有更多知识播主入驻,一起互动玩转科学。
评论