
1、鱼嘴润府摇号清册出炉,192套房源共吸引1873组报名摇号,整体中签率10.2%;
2、华润润淮府摇号清册出炉,128套房源共吸引479组报名摇号,整体中签率26.7%。
3、海玥花园6月25日领B地块02、04、05、08号楼现房销许,共116套住宅(人才35套、无房35套),户型建面约240㎡、300-330㎡(跃层)、540㎡(院墅),全装修销许均价66839元/㎡,另有5500元/㎡升级装修包可选。首付8成,验资1000万元,今起报名。
01、中签率10.2%、均价4.7万/㎡,河西南纯新盘即将首开
截至6月26日上午9点,华润置地鱼嘴润府共1877组报名摇号,预计整体中签率10.2%,最终成功报名数据以南京公证处公示为准。
据南京公证处显示,项目将于明天(6月27日)12时30分摇号。
G地块3、4号楼是项目收官楼栋,共192套住宅(人才58套、无房58套),户型建面约100㎡、120㎡、166㎡,精装修销许均价47671元/㎡,首付8成,无需验资。
值得一提的是,该上一次加推还是在2019年12月初,当时加推的126套房源,吸引1940组买房人参与摇号,中签率6.6%,均价39800元/㎡。
时隔两年半,项目所在区位周边的正荣润峯二手房已破7万/㎡,一二手房倒挂约2万/㎡起,而鱼嘴润府不到5万/㎡。
华润置地鱼嘴润府属于鱼嘴G97地块的其中住宅的一部分,鱼嘴G97地块是2017年金茂73.4亿拿下的超级综合体地块,由华润、金茂、平安三家联合开发。
总占地面积约16万平方米,总建设体量约86万平方米,总投资约150亿元。
项目包括一栋含500米(最新高度)超高层5A级写字楼、两栋分别为220和350米超高层写字楼在内的大型城市综合体,将引进3家及以上银行、证券、保险金融机构省级总部,打造成为集办公、商务、购物、文化娱乐、社交、休闲多功能复合的城市新地标,计划于2025年建成。
由于项目体量较大,鱼嘴综合体计划分三期打造。
一期项目:也就是众人瞩目的500米河西第一高楼所在A地块,将与B地块、C地块、D地块和E、J地块一期,耗时约7年建设,属于河西南核心区。其中A地块商业定位为办公配套型商业,因此其中商业不建议设置电影院。
二期项目:建设周期约4年半,含F和G地块;建设上,环评明确F地块为商住混合用地,且商住楼与住宅之间距离小于30米,因此F地块商业明确禁止KTV等高噪声源及餐饮项目入驻。
三期项目:建设周期约3年半。
其中,A、H、I地块为金茂操盘,其中H、I地块为二类居住用地,即后来的鱼嘴金茂悦;B、C、D、G、F地块由华润操盘,其中G、F地块为住宅部分,即后来的华润置地鱼嘴润府;
02、整体中签率26.7%、均价4.7万/㎡,大校场纯新盘即将首开
华润·润淮府摇号清册出炉,共479组报名摇号,整体中签率26.7%。第一轮摇号活动暂定于2022年6月27日14时20分。
项目6月24日首领3#销许,共128套房源(人才、无房房源各39套),户型建面约112、142㎡,销许均价45735元/㎡,另有4400元/㎡升级装修包可选,首付5成。
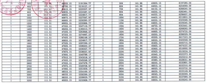
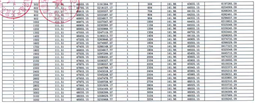
根据一房一价表,最便宜一套总价约510万,最贵一套总价约890万。


华润润淮府项目前身是大校场G73地块,去年9月,经过27轮竞价触顶待摇号,最终被华润拿下,成交楼面地价29643元/㎡,未来毛坯限价44898元/㎡。
根据规划,项目拟建4栋高层住宅楼及商业等相关配套辅助设施。
润淮府的3+X百变户型,可以满足未来业主对家庭空间的一切幻想,可以变成茶室,关闭可单独作为书房或儿童房使用,也可以改造成套房或作为客厅补充空间。
润淮府的3+X百变户型,可以满足未来业主对家庭空间的一切幻想,可以变成茶室,关闭可单独作为书房或儿童房使用,也可以改造成套房或作为客厅补充空间。
约2.3米阔尺玄关,堪比大平层的奢侈宅居住体验。玄关柜采用鸡翅木,竹林灰的色调,强调了从公区到家的一个空间一致性。台面采用了星级酒店才会配置的透光云石,归家尊崇感立现。
以“厨房+餐厅+客厅+阳台”为LDK一体化横厅,开间达5.8米,约41㎡的超大空间,日常宴亲会友气派社交场,愈显主人尊崇。
主卧套房开间达到约3.6米,设置步入式衣柜,可放置2米大床,连接景观飘窗,彰显主人气度。
除了户型创新,科技系统也是此次润淮府一大亮色,打造了华润置地在南京的首座六恒科技住宅。
恒温:地源热泵系统科学控温;恒湿:新风除湿系统,远离干燥潮湿;恒氧:置换新风系统,不用开窗也有室内鲜氧;恒洁:新风过滤系统、全屋直饮水系统;恒智:室内智慧控制系统、智能家具系统;恒静:同层排水系统,有效降噪隔音。
项目位于位于大明路与应天东街交汇处,西北侧就是在建地铁6号线应天东街站,南侧还规划有南部新城富华路。
地块属于南部新城大校场板块,地段优越,周边配置醇熟。毕竟南部新城作为南京近年来着力打造的重点新城,其地位优越性凸出!并且大校场片区又是南部新城的核中核,区域战略地位跟潜力不言而喻。
交通方面:目前,区域内坐拥亚洲最大高铁站,以此延伸出已通车的1号线、3号线、S1号线、S3号线,在建的5号线、6号线以及规划中的10号线二期、13号线、16号线等多条线路;此外还有众多有轨电车、公交路线。
教育方面:大校场片区作为今年重点发展的区域,其教育资源也相当丰富,根据规划,整个南部新城的大校场片区规划了17所幼儿园、7所小学、6所中学、1所高中。
其中最为吸引人的当属南外本部校区(高中部),据悉分为国内高中AB组团和国际高中组团,建成后将提供国际教育资源,预计2022年建成招生。
商业配套:目前大校场区域商业较为短缺,主要依托于南站商圈,但板块内有奥特佳G46项目、华夏幸福G12、金地商置G13地块,未来商业值得期待。
奥特佳G46商业体:根据规划,将打造项目商业、办公、酒店式公寓于一体的地标型商业综合体地上主要功能为商业、办公、酒店式公寓,1#办公、2#公寓层高为23层。
华夏幸福G12:除了住宅部分,G12也会着重打造地块的商业开发,据网传消息华夏幸福总裁,万象城的缔造者吴向东或将亲自参与地块的商业开发。
金地商置G13:根据地块出让条件,地块内未来将建设建筑面积不小于10万平方米的综合型高端集中式购物中心。
休闲娱乐:大校场区域内将会建设一大批的休闲及文化市政项目,其中包括机场跑道公园、中芬低碳生态合作典范区、中国第二历史档案馆新馆、故宫南迁文物博物院、神机营文化公园等。
03、河西豪宅来了,均价6.6万/㎡,116套房源今天报名
海玥花园6月25日领B地块02、04、05、08号楼现房销许,共116套住宅(人才35套、无房35套),户型建面约240㎡、300-330㎡(跃层)、540㎡(院墅),全装修销许均价66839元/㎡,另有5500元/㎡升级装修包可选,首付8成,验资1000万元,项目目前已经开始报名;
报名时间:2022年6月26日9:00-2022年6月27日9:00
报名方式:报名人可通过关注公众号:南京房地产微政务,点击“房帮宁-买房报名-宁小通-商品房报名”进入报名通道进行线上报名。
海玥花园项目前身是上海建工河西中G68地块,是上海建工在河西的第二子。2016年1月29号,被上海建工和南京奥和以64.8亿元拿下,楼面价高达42561元/㎡。一举成为南京第二高楼面价宅地,仅次于河西南葛洲坝南京中国府项目。
项目分为A、B两个地块,共打造20幢住宅,限高60米,住宅均为16-18层的小高层,共约500户。A地块规划建设8栋住宅,1、3、4、5、6、8号楼为18层,2、6、7号楼为17层。B地块原规划建设打造12栋住宅,12、13、15、20、21号楼为18层,11、14、16、18、19号楼为17层,17号楼为16层。
项目售楼处位于项目A地块,共分为三层,后期将作为会所使用。此外,B地块也有一处会所,偏向运动类,配置了游泳池等健身器具。并且后期两个会所都是作为小区业主使用,并不对外开放,但是是收费的。
海玥花园项目位于建邺区河西中部地区,东临黄山路,西临虹苑腾达初级中学,南临兴隆大街,北临白鹭东街。
交通方面:距离地铁2号线兴隆大街地铁站约900m,距地铁7号线东青石站约1.2km;此外有多条公交线路。
教育方面:项目附近有南京晓庄学院实验幼儿园(怡康街)、南师附中新城小学怡康街分校、金陵中学河西分校、新城小学北校区等等。
户型一览:
其中,240㎡户型有四房跟五房两种,1#号楼为240㎡5房2厅3卫;2、5#号楼为240㎡4房2厅4卫。
海玥花园240㎡4房4卫A户型图

海玥花园240㎡5房3卫B户型图

330㎡的复式产品,平层一梯一户,也有两种。其中,3、6、8#号楼为330㎡复式两层,4房3厅3卫;4#号楼为300㎡复式两层,与330㎡有所不同。



评论