文|聚美丽 诗 诗
原料创新,是推动化妆品行业产品创新的重要源泉。虽然,原料所属的科学领域发展规律,决定了一款新原料往往研发周期很长、更新迭代频率低,但与此同时,原料的研发创新也具备相当广阔的空间,吸引科研人员不断探索前行。
国外原料公司,尤其是跨国公司对原料市场趋势一向有较强的话语权,这来源于他们经年累月的研发经验与成果。同时,基于市场需求的变化,他们也通过结构修饰、技术改良等方式进行原料升级,并在可持续发展的共识下,结合不同的护肤理念开发出具有特殊护肤功效的新原料。
而国内,自新规实施以来,国家药监局先后通过了多个国产新原料的备案。整个化妆品行业对新原料成分、配方的研发也愈加重视,形成一股“侧重科研技术”的新趋势。
在这样的背景下,成分特辑推出全新子栏目“原料新品”,意在以国内外新原料研发动态、新品介绍为主题,进行持续报道。欢迎大家关注收藏!
01 巴斯夫:提升情绪健康的“海洋”成分

最近,巴斯夫推出一种新的天然活性成分Sacred Patch (INCI名:水、甘油、戊二醇、海藻胶、辛二醇、甘油聚丙烯酸酯、透明质酸钠、普鲁兰多糖、水前寺紫菜多糖),据称该成分具备出色的保湿效果,能够舒缓敏感肌肤,并有助于刺激健康调节剂催产素的释放,从而提升情绪健康。

图片来源于BASF官网
“情绪美容”,是指人的精神状态与皮肤状态休戚相关。比如,皮肤的色泽取决于表皮黑色素的含量、分布以及皮下血管收缩与扩张的程度,而这些因素均受控于内分泌系统的调节,其中情绪起着一种调控功能。
随着生活节奏的加快,情绪健康在护肤品中的应用开发越来越多,同时备受消费市场的关注。基于这一需求,巴斯夫的研究人员利用 MicroPatch 技术(注:分子贴片技术:一种基于大分子分子网格的技术,该技术可以引入通过渗透平衡缓慢释放到皮肤中的小分子),从一种名为“水前寺紫菜”的日本微藻中提取有效成分,形成多糖的三维分子网络。
Sacred Patch是由天然生物多糖支链淀粉、藻酸盐和透明质酸组成的,其主要有效成分Sacran是来自水前寺紫菜的蓝藻多糖。研究表明,这种蓝藻多糖可以吸收自身重量5000倍的水分,其水结合能力是透明质酸的五倍。
而且,Sacran还能够通过促进“神经肽-催产素”的释放,以减少引起不适的炎症因子如白介素(IL-6, IL-8)的释放来改善皮肤状况。在体外实验中,该活性成分能够刺激皮肤外植体催产素的释放量高达40%;而在体内测试中发现,应用该产品后,能够产生积极的情绪效果。
02 嘉吉:具有增稠和定型功能的天然成分
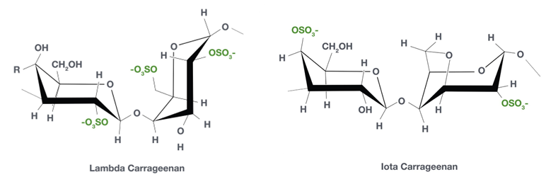
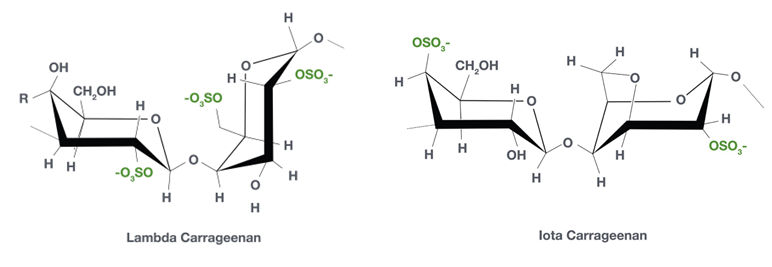
近期,嘉吉美丽护理推出新原料Satiagel VPC 614(INCI: 皱波角叉菜提取物),这是一种来自红海藻的天然增稠剂。皱波角叉菜是一种红藻门天然藻类植物,其中包含丰富的卡拉胶(注:一种天然线性硫酸多糖)。
卡拉胶具有胶凝、增稠和稳定的特性,根据其中硫酸酯结合形态的不同,可分为三种形态:K型(Kappa)、I型(Iota)和L型(Lambda)。不同的构型决定了卡拉胶具有不同的增稠和定型能力。比如,“K型”和 “L型” 可以产生凝胶结构,而 “I型”构型主要用于增稠。

“L型”和“I型”卡拉胶的化学结构(图片来源于嘉吉官网)
过去几年里,基于可持续和绿色化学的原则,嘉吉在皱波角叉菜的应用和研究上积累了丰富的经验。继推出“I型”和“L型”两种不同构型的皱波角叉菜提取物后,他们成功开发了Satiagel VPC 614。
Satiagel VPC 614 是一种“K型”的皱波角叉菜提取物,该原料易于生物降解,在电解质存在的情况下会形成凝胶。因此,原料在较低的使用浓度下即可诱导凝胶形成。并且,“K型”凝胶具有热可逆性,不会像另外两种构型那样发生由机械力产生的触变行为。

“K型”卡拉胶的化学结构(图片来源于嘉吉官网)
由于具备成膜性和特殊的质地,Satiagel VPC 614可用于皮肤护理、清洁用品、护发和面膜等产品中。该原料为精华、凝胶型乳霜、固体或半固体凝胶等产品带来比较独特的质地,同时具有均匀成膜的能力,可以从视觉上明显改善皮肤细纹。
03 嘉法狮:用于抗重力和DNA防护的两款植物原料
今年,嘉法狮主推两款植物提取物EleVastin 和Solastemis ,分别主打“抗重力”和“DNA防护”。
嘉法狮认为,重力对面部的影响是不易察觉但不容忽视的,EleVastin (INCI名:甜菜碱、水、1,3-丙二醇、九里香茎提取物)在增强皮肤弹性的同时,可以显著改善因重力造成的皮肤下垂现象。
据称,EleVastin 是100%的天然活性成分,该原料使用了一种低转变温度混合物(天然LTTM)作为溶剂,通过使用甜菜碱、水和丙二醇(比例为1:5:1)的三元混合物,从古印度草药和芳香植物调料九里香的多叶茎中提取而来。
天然LTTM属于超分子溶剂,是由多个组分通过氢键连接成的稳定有序的混合物,呈液体状态,具有较低的熔点和优异的生物相容性。
除了LTTM之外,还有一种NaDES技术(天然深共熔溶剂)也属于超分子溶剂范畴。相较之下,NaDES技术表现出更强的分子间氢键。在嘉法狮的另一款原料Solastemis (INCI名:果糖、甘油、水、佛手瓜果提取物)中,就使用了这一提取技术。
皮肤光老化会导致短期炎症和晒伤,并会对细胞DNA造成损伤。嘉法狮在研究UVA诱导的DNA损伤对表皮干细胞的影响中发现,一种来自留尼汪岛的佛手瓜提取物能够起到保护DNA、修复并维持干细胞潜能的作用。
经过体内外功效验证发现,Solastemis 可以减少30%自由基的产生,能够对抗氧化应激和DNA损伤,有利于DNA的修复,并维持健康的表皮干细胞。
04 SILAB:“抗压力”的阿育吠陀植物成分
法国原料商SILAB是海蓝之谜、兰蔻、SK-II等国际大牌的供应商之一。近期,该公司主推一种来自印度阿育吠陀的天然植物提取物Adaptonyl (INCI名:水、南非醉茄根提取物),主要发挥抗压力的功能。
事实上,Adaptonyl 最初是SILAB于2006年推出的原料。今年他们在原来的基础上,提供了更科学系统的技术和方法,以及完整的体内外功效验证数据。
最近几年,南非醉茄作为一种能够帮助缓解压力和焦虑的膳食补充剂,在TikTok等国外社交平台上备受欢迎。在美国趋势分析公司Trendalytics发布的“2022年10大天然成分将主导食品及护肤品行业”的趋势报告中,南非醉茄排名第五。
南非醉茄,是具有多种药用和养生价值的植物,常被用于印度古老的阿育吠陀治疗体系中。这种植物的根、叶和种子可以入药,已经有4000多年的应用历史,能够发挥缓解压力、神经保护、改善关节炎、疼痛和炎症的作用。
Adaptonyl 主要成分是来自南非醉茄根部的低聚糖,比如葡萄糖苷等。经过人体功效测试,该原料能够增强皮肤的屏障功能并改善皮肤微松弛。
此外,有研究表明,蓝光照射会导致细胞损伤,从而加速皮肤衰老迹象。南非醉茄根提取物还能够起到抗氧化、抗炎、对抗蓝光等作用,并对抗由环境和生活方式对皮肤造成的其他压力。

截图自SILAB官网
此外,今年SILAB还推出了一款新的天然活性物APIOSKIN ,其主要活性成分是提取自巨型浮萍(Spirodela polyrhiza)的芹半乳糖醛酸 (APG) 。
SILAB 使用了一种新方法,结合了分子建模和拉曼显微光谱,并首次证明了巨型浮萍中 APG 的高吸湿能力。APIOSKIN 还能够激活皮肤水合作用的生物杠杆,比如水通道蛋白、渗透压转运蛋白和天然保湿因子,具备出色的保湿性能。
05 Lipoid Kosmetik:胶原蛋白的植物替代物
由化妆品天然原料供应商Lipoid Kosmetik推出的新品PhytoCollagen(INCI名:甘油、水、金合欢树胶),据称是一种经 COSMOS 认证的、纯素和可持续的胶原蛋白替代品,主要来源于金合欢树,可用于代替抗衰老和保湿类化妆品中的动物来源或合成胶原蛋白。

图片来源于Lipoid Kosmetik官网
胶原蛋白是化妆品行业应用最广泛的抗衰、保湿类成分之一,目前市面上的胶原蛋白主要来源于动物和人工合成。然而,随着消费者对天然、纯素的需求越来越强烈,动物来源和合成类胶原蛋白自带动物属性、存在环境污染风险,因而受到诟病。
Lipoid 表示:“PhytoCollagen是一种功能性替代品,可以完全模仿动物源胶原蛋白的美容功效。同时,它更符合消费者对纯净美妆的追求,植物来源显然比动物或合成类胶原蛋白更受欢迎。”
虽然被称为“植物胶原蛋白”,但PhytoCollagen的有效成分并不是胶原蛋白,而是多糖类成分。据了解,PhytoCollagen最主要的成分是金合欢树胶,又称为阿拉伯树胶,其主要由高分子多糖类及其钙、镁和钾盐组成,包括有树胶醛糖、半乳糖、葡萄糖醛酸等。
Lipoid在39 名女性志愿者身上试验,结果显示,Phytocollagen能够促进胶原蛋白的合成、结构性重组,提高胶原蛋白质量。经过验证,该原料与动物源胶原蛋白具有类似的抗衰老、抗皱纹和保湿功效。
从全球范围来看,天然和有机化妆品成分的需求正在不断增长,带有天然属性的原料是市场中热度非常高的一类成分。纵观近几年国际原料公司推出的产品,其中天然活性成分的占比最大。此外,“阿育吠陀护肤”、“情绪美容”等新兴护肤理念,也为这类成分增添了不少趣味和新鲜感。



评论