文|未来迹FutureBeauty 吴思馨
从奢侈品到日用品,中国消费者用短短40年时间完成了一场对化妆品的祛魅。
如今的消费者,只关心化妆品产品是不是有用,是不是好用。换句话说,功效创新背后的原料创新,已经成为化妆品创新的底层动力和根本来源。
而原料之于化妆品,就像燃油车的发动机,手机的芯片。从拼营销、拼渠道,到拼包装、拼品牌,再到拼原料、拼配方,化妆品行业竞争越向上游走,就越需要实打实的硬实力。
但从另一方面来讲,中国市场的化妆品原料创新有巨大空间。
空间很大,但谁能下出先手棋?
21个新原料成功备案,动植物原料、抗衰功效原料亮眼
截至2022年7月,国家药品监督管理局系统中的新注册原料已经达到21个,速度堪比开闸放水。
拿过去数据对比一下,2012年-2020年底,全国新原料注册备案的数量仅有8个。也就是过去自《化妆品监督管理条例》及《化妆品新原料注册备案资料管理规定》出台的19个月时间以来,被“放行”的新原料是过去8年的近3倍。



(新法规下获得备案的21个化妆品原料信息)
行业过大年。
简单解读一下上面这个表格:
从备案节奏看,去年半年时间共有6个新原料通过备案,今年1-7月有15个新原料通过备案,节奏大大提升,并且这种节奏将持续下去。
从所属地来看,21个新原料中有60%(12个)来自于本土企业,另外9个属于外资或者合资企业。本土上游企业非常争气。
从公司性质看,进行新原料备案的公司共18家,其中17家为上游原料公司,1家(华熙生物)为上游原料和终端产品并存的综合业务公司。另外武汉中科光谷绿色生物技术有限公司、深圳市维琪医药研发有限公司、余姚莱孚斯本健康科技有限公司,均有2个原料通过备案。
最后从原料种类看,三大特点非常突出:
首先,“皮肤保护剂”、“抗皱剂”类新原料共有12种,起到抗衰老、修护等相关功效的原料已经成为企业申报新原料备案的发力重点之一;
其次,在一众化合物原料中,4个动植物来源原料——分别来自于大连普瑞康生物技术有限公司、百岳特生物科技(上海)有限公司、四川鹿鸣丘高原生态农业科技有限公司的“雪莲培养物”、“铁皮石斛原球茎”、“红藜(Chenopodium formosanum)提取物”和“藏猪脂”也颇为亮眼。
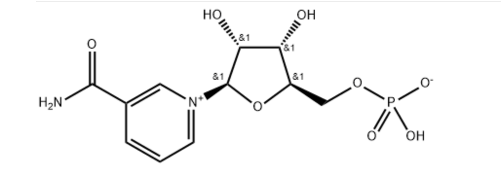
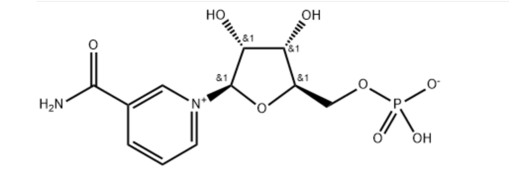
另外,有3家公司:余姚莱孚斯本健康科技有限公司、康盈红莓(中山)生物科技有限公司、深圳市维琪医药研发有限公司,都注册了同一个抗衰功效原料“β-烟酰胺单核苷酸”(简称“NMN”)。

【β-烟酰胺单核苷酸(NMN)】
“虽然受新规和疫情影响,护肤品在2022年1~4月的备案数量与去年同期相比下滑近50%,但依然是备案的化妆品中的主要产品,‘护肤’依然是消费者的主要需求。同时,‘绿色、环保’的理念融入到化妆品的研发、设计中,已成为新的发展趋势。”浙江中贸企业服务有限公司商务总监邵欢解读道。
“因此,植物来源的原料,起到抗衰老、修护等相关功效的原料是发力重点之一。”
市场空间充足,原料创新还有这两大趋势方向
闸门被猛然打开,行业内多年积累的“蓄水”一定会持续释出。
“毋庸置疑,下半年新原料注册备案的数量肯定会持续增加。”邵欢表示。
一方面从市场环境来讲,2022年化妆品企业面临着“双重考验”。
首先是越来越严格的行业政策和法规监管,其次是疫情反复对经济、行业、企业的负面作用,化妆品企业如果想要在激烈的市场竞争中杀出重围,必须要提高对自身产品的安全和质量要求。
而现在化妆品行业已然进入“功效时代”,消费者不仅看重产品效果,且具备一定的功效相关知识储备。因此,市场需求映射到化妆品企业,对原料的需求也会进一步上升,推动新原料注册备案。
另一方面,从政策导向来讲,国家鼓励行业创新,企业创新,技术创新。
目前,新原料注册备案的门槛已经随着《化妆品监督管理条例》及《化妆品新原料注册备案资料管理规定》的施行而大大降低。为了满足消费者需求,原料生产企业需要不断寻求技术创新,产品创新,研发、生产更多优质的新原料。
因此在政策更新、市场发展、行业促进的多重作用下,新原料注册备案的数量肯定会呈持续上升趋势。
那么在未来,新原料备案的趋势会往哪走?哪些方向会成为企业努力的重点呢?
邵欢认为,首先可以从“旧”中寻找机会。
“在新原料的研发上,除了考虑‘新’,也可以从‘旧’中寻找机会。根据法规,具有安全使用历史的化妆品新原料可以按照情形5的要求提交备案,要求相对较简单。食品原料一般安全性风险较低,对原料企业来讲是一个不错的选择。”
据了解,目前国内外化妆品已使用原料的数量仍然存在一定差距。
在我国《已使用化妆品原料目录》(2021版)中的原料数量共8972种,而国际范围内化妆品原料数量还远远不止这些,比如美国个人护理用品协会(PCPC)编撰的《国际化妆品原料字典与手册》中,可使用共有20000个以上。
尽管其中包含在中国属于禁用物质,不能使用于化妆品的成分。但这仍然意味着,国内的化妆品原料有非常大的开拓空间。
其次,“天然”、“环保”等概念的流行,让海洋资源开发也成为一个行业热点。
据中华人民共和国自然资源部数据,我国拥有18000公里的大陆海岸线,200多万平方公里的大陆架,面积在500平方米以上的岛屿7372个,管辖的海域面积达300万平方公里.
“海洋生物中所蕴含的活性物质,将有可能成为化妆品原料生产企业的一个新的突破口。”邵欢表示。
2-5年出一款新原料,市场迈入“长线竞争”时代
“化妆品原料市场的竞争实际是优质原料之间的竞争。现在新原料的研究门槛已经大大降低了,但是要在市场中脱颖而出,关键仍然是原料的功效是否突出、安全性是否有保障。”邵欢认为。
因此,原料竞争,也将成为未来化妆品企业最重要的竞争焦点。
但就目前而言,做出一款新原料,对大部分企业来说仍然是一个巨大挑战,背后考验的是企业对研发和人才的长期投入。
首先从时间维度看。
一款新原料的诞生,通常要经过市场调研、商业论证、可行性分析、立项评审、小试开发、中试论证、产业化生产6个阶段。这几个阶段走完需要的时间在2-5年不等,最少也是两年。
而且原料创新还远不止于把这款原料做出来,为了保持竞争力,需要企业不断进行迭代和升级,去给原料注入新的活力。
“对企业来说,每一款新原料还要去进行不同的产品定位,既需要有短期快速转化的能力,又需要长期储备的战略。”华熙生物告诉《未来迹Future Beauty》。
其次从效率角度看。在原料创新的同时,企业还必须在制造工艺上进行创新,提升产出效率。
“透明质酸”的生产工艺沿革就是一个典型例子。
据了解,这一原料最早由美国哥伦比亚大学Meyer教授和Palmer教授,于1934年从牛眼玻璃体中分离出来。但由于动物组织提取法提取透明质酸原料来源有限,分离纯化工艺复杂,且生产成本很高,所以当时产能极为有限,受到很大制约。
上世纪90年代,第二代生物技术(生物发酵法)的出现让透明质酸的提取效率得到一次大突破。根据华熙生物最新数据,经过工艺优化,透明质酸野生菌发酵产率,已经从原始3g/L提高到现在的14g/L。
如今,进入以合成生物技术为主的第三代生物技术时代,透明质酸的提取效率也在进一步提升。
另外从工业化进步看,自动设备和规模效应,也能从长期带来降本增效的效果,但这也对企业提出更高的投入要求。比如国内已经有部分化妆品企业进入工业4.0阶段,部分岗位由自动化设备替代人工,同时大建工厂,逐级放大规模效应。
不过话说回来,目前新原料市场空间充足,企业原料竞争还没发展到十分“内卷”的程度。
所以大可放手一搏,在原料创新上卷起来,才能真正让产品卷出一个未来。


评论