文|创瞰巴黎 Arthur Touati
编辑|Meister Xia
导读
天文学家最初是通过爱因斯坦的广义相对论推断出宇宙中存在着类似于黑洞的天体。直到2019年,依靠着地球上的射电望远镜拍摄了人类历史上第一张黑洞的照片,从而彻底证实了黑洞存在的事实。那么黑洞是如何产生的?黑洞是否稳定?本期为《星球之外》系列一,作者Arthur Touati带我们纵览人类研究黑洞的历史。
一览:
- 起初,黑洞仅是个数学假说,是爱因斯坦1915年提出的广义相对论推导出的出乎意料的推论。
- 当一个物体的密度超过一定的临界值,就会使附近的时空发生扭曲,变成黑洞。要把地球变成黑洞,则必须将其体积压缩到一颗开心果的大小。
- 近年,两名数学家通过研究验证了黑洞的稳定性,并为“最终状态假说”的证明铺下了基石。
- 随着天文学技术的不断发展,人类或许能观测到黑洞的诞生时刻或“幼年时期”,加深对黑洞的理解。
曾经,爱因斯坦认为黑洞不可能存在。但近十余年来的间接天文观测证明爱因斯坦是错的,黑洞是真实存在的!今天,让我们纵览人类研究黑洞的历史,从施瓦西的早期计算开始,直至近年Szeftel和Klainerman的最新研究。
吞噬一切的宇宙怪物
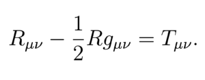
起初,黑洞仅是个数学假说,是广义相对论产生的出乎意料的推论。广义相对论由爱因斯坦在1915年提出,彻底颠覆了人类对引力和空间的理解。根据该理论,时空是一个整体,具有其独特的几何定律。时空会因物体的存在而发生弯曲,就像重物放在床单上,床单会凹陷一样。为描述这种弯曲,爱因斯坦提出了举世闻名的引力场方程:

引力场方程问世几个月后,德国物理学家卡尔·施瓦西在第一次世界大战与俄国交战的前线上,求得了爱因斯坦引力场方程的一个特解。施瓦西解又称施瓦西度规,描述了一个对称的球体(例如恒星或行星)附近的时空弯曲状态。如果该物体的密度超过一定的临界值,就会变成黑洞。但这个临界值密度大得超乎想象:要把地球变成黑洞,则必须将其体积压缩到一颗开心果的大小。黑洞密度极大,物体一旦掉入事件视界,便永无逃脱之日,连光都不能“幸免”!正因为此,黑洞无法发射任何光线,故被称为“黑洞”。
观测黑洞的方法
天文观测的基本原理,是用裸眼或者望远镜捕捉宇宙中各种天体发射出的光线。但若想观测不发射任何光线的黑洞,就得“另辟蹊径”!
现行的一种手段是寻找黑洞发射的引力波。根据广义相对论的另一个奇妙推论,灾难性宇宙事件,比如两个黑洞在时空中的融合,会留下痕迹——引力波。引力波传播的速度等于光速,在两台巨型干涉仪——美国的激光干涉引力波天文台(LIGO)和欧洲的室女座干涉仪的合作下,人类成功地在2015年间接观测到了宇宙中的黑洞。
2019年,人类拍下了黑洞的第一张照片,不过照片里看到的并不是黑洞本身,而是黑洞的吸积盘——即将被吞噬的大量物质在黑洞周围盘旋,并发出光芒。
黑洞神秘的诞生过程
在间接观测技术诞生之前,想要探究神秘的黑洞只能依靠数学验算。黑洞是怎么形成的?究竟是怎样的天体物理机制催生出了这些“宇宙怪胎”?这些是学者们重点研究的问题。
上世纪60年代,英国物理学家、数学家罗杰·彭罗斯为解答上述问题,提出了奇点定理 [1]。根据奇点定理,当局部时空曲率足够大,必然会形成因果定律崩溃的奇点,成为黑洞的中心。当一颗恒星能量耗尽、步入衰亡、并发生引力坍塌,就能满足这些条件。彭罗斯因此获得了2019年物理学奖。得益于他的理论,我们现在知道恒星的死亡是黑洞的一种成因。
黑洞稳定性猜想的验证
现代天文学的技术发展,让我们能观测到越来越遥远的星体,探究它们的“前世今生”,说不定还能观测到黑洞的诞生之刻或“幼年时期”。但还有一个问题无法通过观测解决:黑洞的未来是什么?它们稳定吗?
在物理学中,物质的理想状态一般都是稳定而非不稳定的。想象一颗放在坡顶的小球,轻轻一推就会滚下坡,一点风吹草动都受不得,所以坡顶的位置是不稳定的。相比之下,坡底的位置则是稳定的。詹姆斯·韦伯太空望远镜的发射也能很好地诠释“稳定”和“不稳定”的定义:它的目的地是太阳系的L2拉格朗日点,在该点,望远镜角运动方向是稳定的,运行不易被外界干扰影响(但是轴运动方向却是不稳定的)。
如果一个施瓦西黑洞经历轻微的干扰,会发生什么呢?它是否会像滚下坡的小球一样,试图到达一个新的平衡状态呢?根据法国数学家Jérémie Szeftel和美国数学家Sergiu Klainerman今年发布的两篇“鸿篇巨著”,答案是肯定的 [2, 3]。两位学者对黑洞的几何性质进行了十余年的深入研究,并开发出了新的偏微分方程分析技巧,得出了这一结论。
宇宙的终极状态
Szeftel和Klainerman成功证明了黑洞的稳定性,实属数学领域的一大突破,但是他们的研究并不是这一课题的终结,而是新开始。两位学者的最终目标是验证宇宙的终极状态假说——在遥远的未来,宇宙将只有黑洞,且互相不断远离,如果某两个黑洞靠得太近,一个就会被另一个吞噬,并释放引力波。
想要在数学上证明这一假说,需要求解许多“中间问题”,包括求解黑洞的稳定性——如果宇宙中的一切最终都会变成黑洞,那么黑洞的最终归宿一定是趋于稳定吧?另外一个“中间假说”是“宇宙监督”,由彭罗斯于1969年提出:自然界中的奇点(例如黑洞中心的奇点)不可能是没有视界遮蔽的“裸奇点”,必然要有视界防止外面的区域发生物理学定律矛盾。在现阶段,证明这些“中间假说”和最终假说是不可能的,恐怕还需要数学家数十年甚至上百年的努力,才有望见到曙光。
参考资料:
1. Roger Penrose. Techniques of differential topology in relativity. Conference Board of the Mathematical Sciences Regional Conference Series in Applied Mathematics, No. 7. Society for Industrial and Applied Mathematics, Philadelphia, Pa., 1972
2. Sergiu Klainerman and Jérémie Szeftel. Global nonlinear stability of Schwarzschild spacetime under polarized perturbations, volume 210 of Annals of Mathematics Studies. Princeton University Press, Princeton, NJ, 2020
3. Sergiu Klainerman and Jérémie Szeftel. Kerr stability for small angular momentum. 2021


评论