文|聚美丽 小栗子
在前不久聚美丽举办的“皮肤科学100人成果转化闭门耕”上,中国药科大学吕慧侠教授的研究团队公布了一项关于“HA-lip功能性经皮递送辅料”的成果。该研究主要是将透明质酸和磷脂结合,制备出透明质酸磷脂复合物载体,实现活性物的经皮递送。
此前,润百颜修光棒次抛的INFIHA英菲智配玻尿酸科技中的玻载技术,也是利用了透明质酸的性质及与皮肤中特异性受体结合的特性,配合INFIHA中的玻尿酸复配成分和专研成分实现活性物的促渗(具体促渗过程和方式未查询到)。
“利用透明质酸与特异性受体结合的特性,使其成为活性物的递送载体”在医药领域已有一定应用,但在化妆品领域还较为少见。
我们可以感受到,随着HA生产水平的逐年提升,以及HA在化妆品和医美领域的应用场景越来越广泛,其研发也在朝着更细分化的方向发展。
本文就透明质酸的结构展开,简要梳理了近几年透明质酸及其衍生物的发展和应用:1)对HA的双糖单位进行改造,由此产生的HA衍生物;2)水解得到的,分子量越来越小的HA分子;3)交联类透明质酸;
羧基和羟基是生成HA衍生物的活性基团
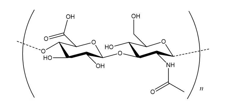
透明质酸(Hyaluronic Acid,HA)是一种天然存在于生物体内的糖胺聚糖,是广泛存在于人体皮肤、眼球玻璃体、关节滑液等位置的一种酸性多糖。

图:透明质酸分子结构式
ps:1、透明质酸被认为是由D-葡萄糖醛酸及N-乙酰葡糖胺双糖单位重复排列组成的多糖。2、下文将多处提及透明质酸钠,需要指出:透明质酸钠≠透明质酸,透明质酸钠是透明质酸的钠盐形式,但水溶性高,更易应用,在功效上与透明质酸差别不大,部分市售透明质酸会以其钠盐形式保存或出售。
由改造双糖单位而产生的透明质酸衍生物,改性反应作用的基团主要是单位中的羧基和羟基,故从反应基团上,笔者将其分为以下3类:双糖单位中的羟基(-OH)发生反应;透明质酸的金属盐类;与羧基作用形成酯。

图:透明质酸分子中的羧基和羟基
羟基发生反应
据不完全查询,目前由双糖单位中羟基发生反应而生成的透明质酸衍生物主要有乙酰化透明质酸钠和羟丙基三甲基氯化铵透明质酸钠。
乙酰化透明质酸钠由透明质酸钠经乙酰化反应得到,由于单位结构中有4个羟基可被乙酰基取代,故会有0-4不同取代度的乙酰化透明质酸钠。
乙酰化改性的最初目的,一般认为是保持HA亲水性的前提下增加HA的亲脂性,取代程度不同会影响HA的亲水性和亲脂性。
最早开始研究乙酰化HA的是日本资生堂,他们在20年前便开始了这项研究,并申请了相关专利,因此在相当长的一段时间内,乙酰化HA的生产和销售被其垄断。
目前市场上有着不同程度的乙酰化HA,奇华顿曾推出一款完全乙酰化的透明质酸钠(Primalhyal Ultrafiller),即4个羟基完全被乙酰化;此外,华熙生物曾于2017年推出了75%乙酰化(平均取代度为3)的乙酰化透明质酸(Hymagic -AcHA)。
据华熙生物相关研究发现:乙酰基的平均取代度在2.6-3.6之间,乙酰化HA的亲水亲脂性能最佳。低于2.6亲脂性不明显,大于3.6亲水性变差。

注:表中“应用产品”一栏来自美丽修行查询。
而羟丙基三甲基氯化铵透明质酸钠,是一种阳离子化的透明质酸钠,山东众山生物科技有限公司的SMOHYA 致泽原料的主要物质就是该化合物。

透明质酸的金属盐类
透明质酸钠便是羧基的氢离子被钠离子取代得到的钠盐,氢离子被金属离子取代生成的成分还有,华熙生物先后推出的水解透明质酸锌、水解透明质酸钙、透明质酸钾,前两项成分已于2022年完成化妆品新原料备案,透明质酸钾于2022年11月完成专利申请。



与羧基作用形成酯
双糖单位中的羧基除与金属离子结合形成盐外,也有科学家将其与氯硅烷类物质反应形成酯类化合物,以实现对透明质酸的改性从而获得更多样的功效。

图:“一种硅烷化玻璃酸酯复合物的制备方法”发明专利
2014年5月,山东福瑞达生物工程有限公司的“一种硅烷化玻璃酸酯复合物的制备方法”的发明专利获得授权,并且该专利的相关论文在日用化学工业发表。专利和论文描述的便是一种透明质酸酯类化合物。

越来越小的透明质酸
早期,透明质酸作为一种高分子多糖添加在护肤品中,其在皮肤表面起到的作用主要是保湿。而随着人们对透明质酸了解的不断加深,研发科学家尝试将大分子透明质酸用物理、化学或酶切的方式进行降解,或者以直接微生物发酵生产的方式,获取分子量更小的透明质酸。
众所周知,不同聚合度(形成分子的双糖单位数量不同)的透明质酸功效并不相同。

据公开资料显示,目前有多家企业推出了寡聚透明质酸原料,分子量大小和功效也不尽相同。

一直以来,小分子HA的生物活性存在争议,有观点认为小分子HA有致炎风险,也有文章报道了小分子HA引发了炎症响应提高的数据;
也有观点认为,创伤修复中的炎症阶段确实是小分子透明质酸或寡聚透明质酸钠介导的,但小分子HA引发炎症响应提高不一定对皮肤有负面影响,这是修复过程中不可或缺的一部分。
目前在小分子透明质酸是否带来炎症反应的负面影响这点上,尚无定论。
医美用交联透明质酸的发展
透明质酸的一个发展方向是趋向于分子量更小,而另一个发展方向则是希望制造出超高分子量或者说聚合度更高的交联透明质酸。
交联是指透明质酸在交联剂的催化下发生分子内交联或者与交联剂的官能团发生分子间交联,使其分子链增长、分子量增大,从而提高其机械强度、黏弹性和抗降解性。简单来说,就是将HA分子通过“媒介”(即交联剂)在空间上“绑”在一起,形成更大的网络。
并且,交联程度不同,透明质酸的物质状态也不相同,交联程度越高,其状态逐渐由液体到凝胶、甚至到固体过渡。
应用在化妆品中,该类透明质酸能够在皮肤表面形成长效生物保护膜,具有锁水、储水、隔离、防护等作用,也可用作水溶性或油溶性活性物质的传递系统。
但透明质酸钠交联聚合物更多是作为填充剂应用在医美领域。由于透明质酸能在体内通过代谢途径被降解,用于注射填充时,为了保证更为稳定而持久的效果,必须进行交联。通常分子量越大、交联率越高的透明质酸,在体内维持的时间越长、塑型效果越好。
因此,不同交联技术的使用将直接影响透明质酸的塑型能力、持久度等表现。交联技术的开发和工业化生产具有一定的难度,也成了各家企业技术差异的关键所在。
据Medactive发布的文章介绍,目前市场上主要的交联剂主要为两类:BDDE(丁乙醇缩水甘油醚)和DVS(二乙烯基砜)。FDA 认证的产品既有使用BDDE也有使用DVS,有部分学者指出,DVS交联的产品硬度更高更持久,BDDE质地柔软,溶胀更明显,主要是因为DVS分子中有一个结合后不易打开的巯基,而BDDE分子链更长。
近些年来,由于医美行业发展的需要,也不断涌现出新的透明质酸交联技术,使得填充用的透明质酸更安全、填充效果更持久、更不易被降解代谢。
2018年12月,欧华美科控股的法国里昂BIOXIS PHARMACEUTICALS公司研发生产的BIOXIS Velvet天鹅绒交联技术透明质酸在中国香港批准并上市。

图:BIOXIS Velvet天鹅绒交联技术透明质酸,图源欧华美科医学科技公众号
该交联技术的核心是使用线形透明质酸进行薄层交联(TLT),即在生产加热过程中能让热量渗透到凝胶内部,进行分区加热,最终凝胶受热均匀,确保凝胶内部和周边BDDE均匀交联,共价规律形成,共价结合率高 ,最终得到均质的透明质酸凝胶。
2020年,据Biomacromolecules发布的文章报道,一研究者设计了一种基于二硫键网络的可降解透明质酸水凝胶,通过光引发自由基可以有效地控制硫醇化透明质酸水凝胶的交联度,从而调节它们的机械性能。由于这类凝胶的机械强度可以通过光氧化和光降解进行调节,使得水凝胶的机械性能能够通过光刻的方式进行特别定制,从而获得更为复杂的凝胶材料。
2022年,《International Journal of Molecular Sciences》杂志上发布了一篇文章,长庚大学的Jyh-Ping Chen教授团队开发了光交联透明质酸(HA)/羧甲基纤维素(CMC)水凝胶作为硬脑膜替代品。
HA/CMC水凝胶通过在400 nm可见光下,共交联透明质酸甲基丙烯酸酯(HAMA)和甲基丙烯酸羧甲基纤维素(CMCMA)制备。这种光交联的HA/CMC(HC)水凝胶具有生物相容性、可降解性和一定机械强度。

图:光交联透明质酸(HA)/羧甲基纤维素(CMC)水凝胶相关论文
以上提到的交联类透明质酸使用的多为化学交联剂,或者搭配其他材料进行复合交联;在医美领域,使用化学交联剂进行交联的透明质酸在注射填充时存在一定的致敏风险,这主要是由化学交联剂引起的。为追求更为安全的透明质酸,也有出现以物理方式进行透明质酸的交联。
上海交大张洪斌教授的研究团队曾对冷冻解冻方式制备透明质酸凝胶过程中的各种因素进行了研究。所制备凝胶的性质表征和分析结果表明:
凝胶性质受冷冻解冻过程(冷冻时间和冷冻解冻次数)、透明质酸分子量以及小分子添加物等多方面因素的影响。
随着冷冻时间的延长或者冷冻解冻次数的增加,溶液中更多的自由链参与了物理交联凝胶网络的形成,从而促进了其力学性能的提高;随着冷冻时间的延长,纤维网络结构及其密度相应增加,凝胶的热稳定性也相应提高。
根据这项研究,或许能进一步制备生产出更稳定、力学性能更优、维持时间更久、更安全的物理交联透明质酸凝胶。
由于交联透明质酸最初是作为生物医学的组织工程材料被使用,在医学领域有着更多的前沿研究,这些研究或有可能进一步被应用在医美领域。
据中银证券发布的行业研究报告显示,目前透明质酸行业受三大利好因素影响:需求增长、产能扩张、政策引导,其中需求涉及医美、医用敷料、功效性护肤品等多个领域,各个领域的渗透率都在增加,这些因素都将促进透明质酸行业的进一步繁荣。
而透明质酸相关研发技术的发展将成为企业强竞争力的关键因素之一,与多个因素一起推动行业前行。
参考文献:
[1]李燕, 陈建英, 王晓梅,等. 硅烷化玻璃酸酯的制备及其护肤功效研究[J]. 日用化学工业, 2014, 44(9):5.
[2]张惠, 刘爱华, 臧恒昌,等. 低相对分子质量透明质酸制备方法及生物活性研究进展[J]. 中国药学杂志, 2012, 47(13):3.
[3] Wu L , Cio S D , Azevedo H S , et al. Photo-Configurable, Cell-Remodelable Disulfide Crosslinked Hyaluronic Acid Hydrogels[J]. Biomacromolecules, 2020.
信息来源:中生药协、百度百科、吕小鳯、美丽修行、中国香料香精化妆品工业协会、国家药品监督管理局、 硅碳鼠妆研人、知乎、众山生物官网、言安堂、Medactive、欧华美科医学科技、生物基科研前瞻、未来智库。


评论