一打开手机,通知栏被各种应用PUSH信息塞满。手指惯性地放在手机屏幕顶端,下拉,几秒钟内从上瞄到下,看到感兴趣的,点开;没发现感兴趣的,全部删除。
该场景,我每天都需体验几次。我也相信,这也是大多数手机用户每天必经的场景之一。
此场景,用一句话来描述最适当不过:“无求不动,有求则应”。这8字箴言也是无数网友在信息过载的互联网时代,对互联网产品信息推送持有的基本态度。
换句简单的话来说,只有用户对你的推送信息或活动感兴趣,他才有可能会点开。而感兴趣用现在的流行词来说就是“精准”。
今天,等待八戒想来谈谈app运营如何通过构建用户兴趣模型进行个性化活动推送,让用户对活动有求则应。
一、用户兴趣模型的构建
俗话说,巧妇难为无米之炊。既然是以用户兴趣模型为基础的APP PUSH信息,首先得有用户兴趣模型的存在。那怎么构建起app用户的兴趣模型库呢?
1、搜集用户行为信息
行为可以反映兴趣。一个男人想要追到自己看上的女人,最大捷径莫过于多注意女人平时的行为,从而了解她的兴趣爱好,最后投其所好。同理,一个app运营想要做好用户兴趣模型,首先要做的就是利用各种利用到的手段搜集想要的用户行为信息。
什么是用户行为信息
用户在一个网页、网站或app产品上的任意操作统称为用户行为。以购物购物app为例,用户从打开app、登陆账户、查找或浏览商品、加入购物车、支付订单、分享商品、收藏商品等都属于用户行为信息。再如,一个用户在某视频app上观看过的节目内容,用户观看某个视频的次数和观看时长等都是用户在改app产品上的行为信息。
怎么搜集用户行为信息
不管是网站还是app,常见的用户行为搜集方式主要有以下两种:
显示搜集:很多产品的新用户注册页面把这种搜集用户行为信息的方式诠释的很好,如下图所示知乎注册页面,一个简单的注册页就搜集到了几个重要的用户信息:邮箱、手机号姓名。

除了用户的注册行为之外,用户显示反馈(如卸载某软件弹出一个网页让你填写反馈信息类)和表单填写等能够直接获得用户行为信息的方式都属于显示搜集范畴。
该方式的优势:简单粗暴,效果直观,且搜集到的用户行为信息能在很大程度上反映出用户喜好。
隐式搜集:通过技术手段在后台全程记录用户在网站、网页或app上的所有操作行为,并从这些操作行为中提取用户兴趣信息的。
如下图所示,这是我某天晚上把淘宝某店铺的一件宝贝加入了购物车,第二天早上就收到了一条提醒“交易剩下时间不多”的短信。该店铺的小二之所以会发这条短信给我,是因为他在后台能够看到我“加入购物车”这一行为。这是典型的隐式搜集用户行为信息的案例。

该方式的优势:用户不直接参与,用户体验较好。
2、提取用户兴趣信息
用户访问某个页面,进行某种操作背后在很大程度上代表他们的兴趣爱好,即用户行为信息是用户对产品较为真实的需求。再者,我们搜集那么多用户行为数据,也是为了更好的了解用户的兴趣点。
比如微博、微信、陌陌,同样是社交软件,但每个用户使用它们的目的都是不一样的,有的是为了获取新闻热点事件,有的是是为了发展潜在客户或机会,有的单纯是为了加强和还有的联系等。产生这种结果,是因为每个用户的兴趣点不一样,所以每个用户的行为也会不同。
所以,运营在有了用书行为数据后,要能够从用户行为信息中提取出用户兴趣信息。用户兴趣信息提取建议从两方面着手:用户访问内容、用户浏览行为。

有了行为数据之后,如何提取出用户兴趣信息并用一种恰当的表示方式描述用户兴趣
3、展示用户兴趣信息
运营根据用户行为信息成功提取出用户兴趣后,要用一种比较恰当的表示方式对用户兴趣进行描述。这么做的目的有两个:一是为了能够让用户兴趣信息更直观;二是为了让之后的用户兴趣建模更具科学性。
用户兴趣信息展示的方法有3种:
主题展示法:以主题类别概念集合为依据来表示用户的兴趣点。如下图所示,新用户下载豆瓣app并打开进入首页之前,会让用户选择自己感兴趣的主题。

优势:用户兴趣信息直观,且可操作性强。
不足:展示信息的精准度有待商榷。
关键词展示法:顾名思义,就是通过用户主动提供或采用相关算法筛选出一些能够代表用户兴趣的关键词来展示用户兴趣信息。如柏拉图app制作的“个性标签”H5帮用户生成的那张个性标签图就是用的关键词展示法。

优势:操作简单快捷。
不足:可能需要用户的主动参与,体验不够好。
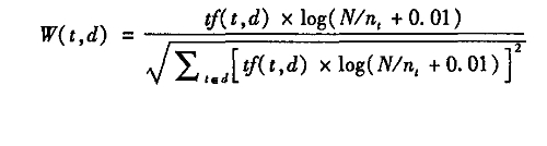
向量空间展示法:通过计算关键词的权重,把用户的兴趣展示城有关键词和权重构成的单个分项组成的一个特征向量序列。也就是说,向量空间展示法是关键词展示法的升级版,加入了关键词的权重信息,把文本表示成带权重的信息的词项向量。
下图为向量空间展示法的计算公式。

W(t,d):词t在文本d中的权重;
TF(t,d):词在文本d中的词频;
N:训练文本总数;
Nk:训练文本集中出现t的文本数。
优势:不用人工参与,用户信息直接从服务端获取。
不足:计算得到的用户兴趣文本特征词语数量庞大,增加运营工作量。
4、构建用户兴趣模型
根据前面的用户兴趣信息提取、展示、分析和挖掘,结合用户实际需求,并以用户数据实体为中心规约数据维度类型,将得到的用户兴趣喜好用结构化的形式为用户建立一个兴趣模型。这个环节通常也被称之为用户画像的建立,即给用户打标签,让用户兴趣信息标签化。

二、如何根据用户兴趣模型让用户对app活动有求则应
用户兴趣模型构建好之后,用户兴趣行为、用户兴趣标签、用户兴趣画像等关于用户兴趣的数据都齐全了,后续的个性化、精准活动推送就比较简单了。
一款app基于用户兴趣的个性化活动推送方式可以采取两种形式,一是在app内进行SDK埋点,根据用户实际场景和需求触发精准活动;二是根据用户兴趣模型,主动PUSH相应的app活动。
1. SDK埋点定向触发个性化活动
确定好活动场景和用户兴趣信息确定好活动投放位置,然后在app内相应的位置进行SDK埋点,当用户完成了预定的操作或者符合相应的条件(如活动触发行为)才能触发某个活动。
如某次app活动主要的目的是什么,是为了给app拉新、留存还是为了促活app用户。不同场景的活动在app内的投放位置不同,如你是为了激活新用户,你就把用户可能感兴趣的活动页面投放在app用户注册完成页面之后。用户注册成功,立即弹出一个新用户抽奖的活动。

再比如一款购物app,想要提高用户的复购率,可以根据用户浏览商品的喜好,在用户将商品加入购物车时投放投放该商品的优惠券活动,或在用户下单后,根据用户兴趣投放一些周边产品的打折优惠活动。下图为外卖app饿了么下单后分享后的触发优惠券活动。

2. 主动PUSH活动
主动PUSH信息是通过用户兴趣模型数据库中的用户兴趣标签智能判断用户对什么类型的活动感兴趣,然后直接推荐相应的活动给用户。这一点,现在主打“兴趣阅读”的移动新闻类app产品做得比较出色。
如天天快报、今日头条等,都是采用“智能计算用户兴趣—+编辑运营”的方式为用户推荐内容的,这样做的好处是符合app用户的阅读习惯和喜好,达到个性化阅读推荐的效果。

最后,无论是信息的个性化推送,还是活动的个性化推送,个性化推送都是为了更好地实现信息与用户个性需求相匹配的过程。在这个过程中,用户兴趣模型的建立是非常关键,又因用户行为或兴趣会随着时间或其他因素而改变,所以,建议app运营有周期性地对用户兴趣模型进行更新或修改。


评论