ABS的英文全称是Anti-Block system或者Anti-lock Braking system。一般翻译为“制动防抱死系统”。顾名思义,ABS可以防止制动过程中轮胎被抱死,保证车轮的滚动。继而实现以下效果:
1,缩短制动距离
2,保持制动过程中的转向能力
3,保证制动过程中的方向稳定性
4,减小轮胎磨损
那么,什么是抱死?为什么仅仅防抱死就可以同时产生这么多的效果呢?
物块是怎么停下来的?
让我们从最简单的制动过程谈起:
让一个物块以一定的初始速度在平面上滑动,因为摩擦力的存在,物块的速度将逐渐减慢。最终停下来。这个过程中的受力可以用下图表示:
图:物块的制动
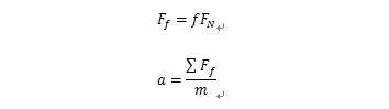
在相同的初始速度下,物块能不能在短时间内停下来,取决于制动过程中的加速度。加速度值越大,减速越明显,制动需要的时间越短,制动的距离也就越短。对于图中的物块而言,制动过程中的加速度的大小可以用下面两个公式表示:


公式中的a表示加速度。m表示物块的质量。
FN表示平面对物块的支持力。在图中的情形下,它等于物块的重力。
f表示摩擦因数。它表示两个物体之间接触面的光滑或者粗糙程度。接触面越光滑(例如两块冰块相接触),f就越小,进而制动的加速度就越小;接触面越粗糙(例如两块砖头相接处),f就越大,进而制动的加速度就越大。
对于特定的物块和平面,f是一个固定的数值。因此,制动中的加速度也是一个固定的值。
显然,想要使得物块在短时间内减速,关键的问题就是获得更大的摩擦因数f。
汽车又是怎么停下来的?
对于一辆车,制动中的受力也是类似的。因为地面摩擦力的方向是不确定的,为了方便讨论,我们将地面摩擦力分解为纵向(平行于车身轴线)和侧向(垂直于车身侧面)两个方向。
图:纵向摩擦力
图:侧向摩擦力
与物块有所不同的是,汽车有四个轮子,与地面的接触面就有四个,所以在两个方向上都受到四个摩擦力。
之前提到的两个公式仍然存在,唯一需要注意的就是汽车受到摩擦力的数量。

公式中的西格玛Ff表示各个车轮上摩擦力的和。
与物块的制动过程相似,为了获得更大的制动力,缩短制动距离,关键就是获得更大的摩擦因数f。
而汽车与物块的不同之处在于,即使选定了轮胎和路面的类型,摩擦因数f仍然不是一个确定的数值。
是滑动还是滚动?就看滑移率
根本原因在于车轮是滚动的。滚动时的摩擦因数与车轮的运动状态有关。
图:滚动中的车轮
生活经验告诉我们,汽车在行进中,汽车有向前运动的速度,同时车轮也有转动的速度。
在制动过程中,如果车轮完全不打滑,这两个速度一定满足下面的关系:

如果车轮完全打滑(也就是抱死),转动的速度将变成0,而车速仍然大于0。这时,车轮在地面拖滑,磨损十分剧烈,磨掉的橡胶粘在了地面上,就形成成了明显的刹车印。

图:事故中紧急制动的车辆在地上拖出的刹车印
显然,这种滑动不利于轮胎寿命。
上面介绍的两种运动(纯滚动和纯打滑)是最极端情况,介于两者之间的,就是“边滚边滑”。
边滚边滑的情况下,车速和车轮转速满足下面的关系:

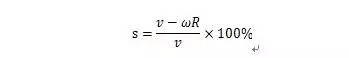
为了准确衡量车轮打滑的程度,我们使用滑移率(通常用s表示)这一概念。制动过程中的滑移率表示为:

s介于0和1之间,s越大,表示滑动的程度越大。
当s=0,无滑动;
当0
当s=1,完全打滑。
摩擦力有多大?滑移率说了算
花了很多时间介绍了滑移率这个概念,主要是为了介绍滚动时的摩擦因数。之前已经提到过,汽车制动时受到纵向和侧向两个方向的摩擦力。这两个方向上的摩擦因数都与滑移率密切相关。可以用下面的图来表示:
图:摩擦因数随滑移率变化
可见,在纵向上:随着滑移率增大,摩擦因数先增大再降低,在滑移率为15%~20%附近达到最大值。
在侧向上:随着滑移率增大,摩擦因数一直下降。当滑移率为1时,摩擦因数已经很小。
制动抱死会带来什么?
有了这张图,我们想象一下如果制动过程中车轮抱死(滑移率为1)会发生什么。
在纵向上,摩擦因数虽然不是最大,但仍然保持在一个较大的数值,能够提供一定的制动力,使得车辆减速。只是制动距离比理想状态更长。
但是在侧向上,摩擦因数非常小。可以认为,这时地面对这轮的侧向力已经为0。
如果抱死的是前轮,由于前轮上的侧向力非常小,即使猛打法向盘,汽车也难以转向。这种现象被称为“丧失转向能力”。这是危险的。当前方出现突发情况(例如突然出现弯道),驾驶员的本能反映就是紧急制动并打方向进行避让,这时如果前轮抱死,车辆的转向能力丧失,就可能发生事故。

图:前轮抱死使得转向能力丧失
而后轮抱死则更加凶险。由于后轮抱死,后轮上的侧向力几乎为0,但是前轮上的侧向力依然存在。如果这时有微小的扰动(例如地面不平,驾驶员方向轻打方向盘),使得汽车产生了轻微的转向,汽车受到的离心力和前轮上的摩擦力就会使得汽车剧烈转向,这种转向不受驾驶员的控制,被称为“方向失控”。这会使汽车偏离行驶路线,严重时,整个汽车转动180度(逆行)。

图:后轮抱死使得转向不受控制
别怕!ABS来救你
见识了制动抱死的可怕后果,ABS的重要就不言而喻。
ABS的工作原理如下图所示:

图:ABS原理示意图
ABS在工作过程中,不断计算各个车轮的滑移率,根据滑移率调节制动力。滑动率过大时,ABS使得制动油压减小,进而使得滑动率减小;当滑动率过小时,ABS使得油压增大,进而使得滑动率增大。
这种调节的最终目的就是把滑移率控制在15%~20%的最佳范围内。

图:ABS把滑移率控制在目标范围
我们可以看出,在这个范围内:
1,纵向摩擦因数接近最大值。地面能够提供最大的制动力,缩短汽车制动距离
2,侧向摩擦因数也保持在较大的数值附近。侧向力充足,保证车辆的转向能力,提高转向的稳定性。
你已经明白了,看似简单的“防抱死”,其实作用巨大。ABS系统发明以来,避免了无数起因制动引起的交通事故。正是因为作用巨大,ABS和安全带一样,成为了法规强制安装的安全装置。

图:目前能够上路的任何一辆车几乎都安装了ABS。同时,仪表盘页上都会有这样一个ABS故障指示灯。如果此灯亮起,表示ABS发生了故障,一定要及时维修。
也有无能为力的时候
然而ABS并不是万能的,ABS只能防止刹车制动(通过踩下刹车踏板)引起的车轮抱死,但是对发动机制动(通过合理降档,拉高发动机转速)引起的车轮打滑却无能为力。
图:发动机制动:通过合理降档,拉高发动机转速为车辆制动。利用发动机的内部摩擦和压缩冲程耗能提供制动力。发动机制动仅仅对驱动轮有效,因为只有驱动轮与发动机相连。连续下坡时应该使用发动机制动控制转速,以免长时间刹车使得刹车片过热,刹车效果下降甚至失效。
原因在于,刹车制动时,制动力来自刹车油压系统。发动机制动时,制动力来自发动机。而ABS只能对刹车油压系统进行调节。路面比较滑的时候,如果进行发动机制动,一旦制动力过大,驱动轮滑移率将超出正常范围,即发生打滑。对于后驱车,可能发生急转。对于前驱车,将不能转向。很多汽车的用户手册都明确指出了这一点:

图:“警告!在易滑路面行驶时,千万不要用降档来制动。这将会引起驱动轮打滑,并使车辆难以控制。您车上的ABS不能防止这种失控。在易滑路面驾驶时请格外小心。避免突然的加速,转向或制动。不要使用巡航功能。”节选自奔驰车型的用户手册。
可见,ABS也不能保证万无一失。毕竟,保证行车安全不仅依靠汽车上的安全设备,还要依赖驾驶员谨慎的判断和合理的操作。
(作者的话:为了方便读者理解,文中使用了“纵向摩擦因数”和“侧向摩擦因数”这种通俗的说法。严格来讲,应该是“纵向附着系数”和“侧向附着系数”。)


评论